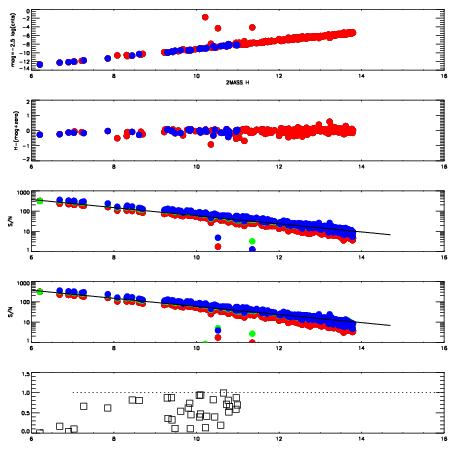
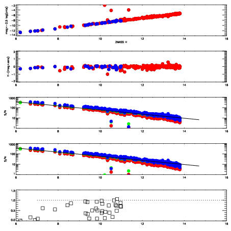
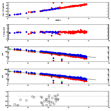
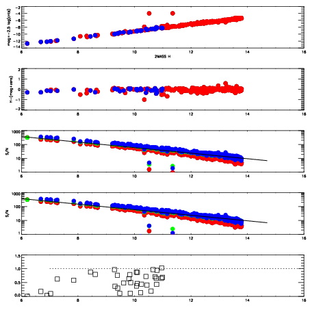
Left plots: red are targets, blue are telluric. Observed mags are calculated from median value of green chip. Zeropoint gives overall throughput: bigger number is more throughput.
First spatial plots: circles are objects, squares are tellurics, crosses are sky fibers. Colors give deviation of observed mag from expected 2MASS mag using the median zeropoint; red is brighter
Second spatial plots: circles are sky fibers. Colors give sky line brightness relative to plate median sky line brightness
FrameNreadsZeropointsMag plots Spatial mag deviation Spatial sky 16325A emission deviations (filled: sky, open: star) Spatial sky continuum emission Spatial sky telluric CO2 absorption deviations (filled: H < 10)
12760045 47
RedGreenBlue
z19.18
znorm15.00
sky 14.5 14.5 14.5
S/N 15.4 24.7 25.6
S/N(c) 24.7 3.1 15.4
SN(E/C) 0.59
12760046 47
RedGreenBlue
z19.19
znorm15.01
sky 14.4 14.4 15.0
S/N 16.0 24.8 26.2
S/N(c) 24.9 3.2 15.6
SN(E/C) 0.55
12760047 47
RedGreenBlue
z19.20
znorm15.02
sky 14.4 14.6 15.0
S/N 15.7 25.1 26.3
S/N(c) 25.5 3.2 15.7
SN(E/C) 0.54
12760048 47
RedGreenBlue
z19.20
znorm15.02
sky 14.4 14.6 15.2
S/N 15.9 25.2 25.9
S/N(c) 25.5 3.2 15.7
SN(E/C) 0.58
12760049 47
RedGreenBlue
z19.17
znorm14.99
sky 14.5 14.6 15.1
S/N 15.5 24.9 25.7
S/N(c) 24.4 3.1 15.4
SN(E/C) 0.57
12760050 47
RedGreenBlue
z19.20
znorm15.02
sky 14.5 14.8 15.0
S/N 15.9 25.7 26.3
S/N(c) 25.3 3.2 15.7
SN(E/C) 0.54