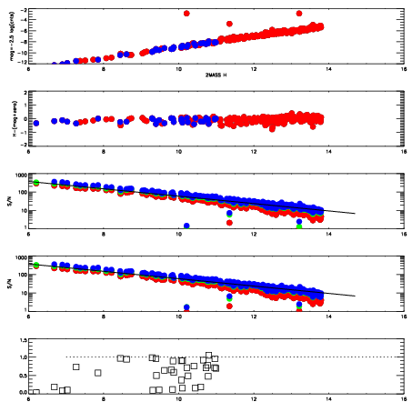
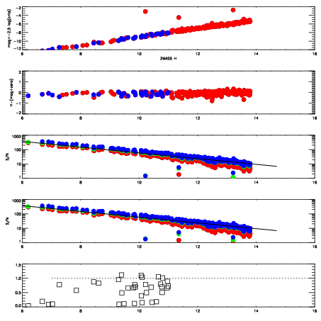
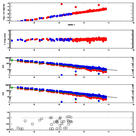
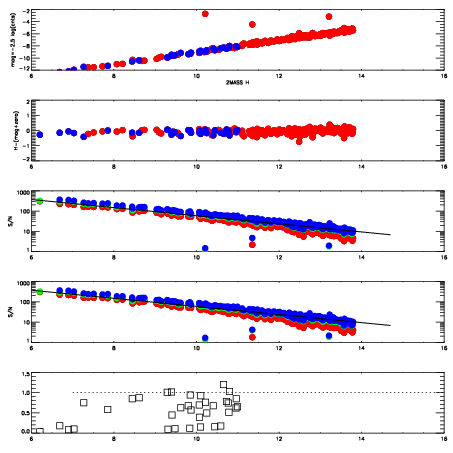
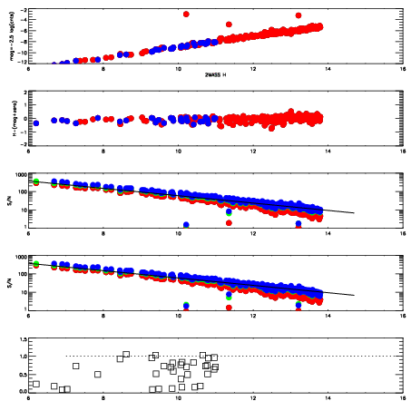
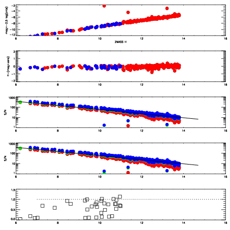
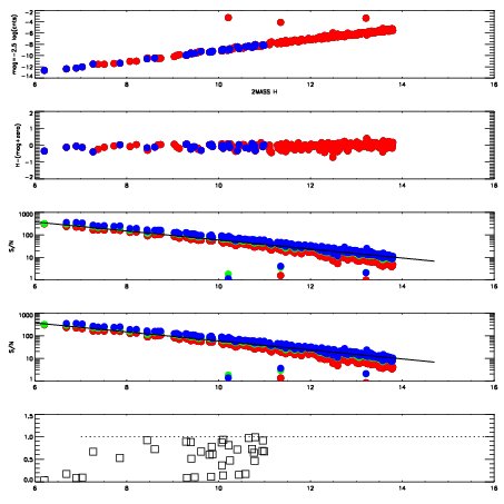
Frame | Nreads | Zeropoints | Mag plots
| Spatial mag deviation
| Spatial sky 16325A emission deviations (filled: sky, open: star)
| Spatial sky continuum emission
| Spatial sky telluric CO2 absorption deviations (filled: H < 10)
|
12720071
| 47
| | Red | Green | Blue
| z | | 19.09
| znorm | | 14.91
| sky | 14.8 | 14.4 | 14.8
| S/N | 16.7 | 26.4 | 27.5
| S/N(c) | 24.7 | 22.0 | 10.6
| SN(E/C) | 0.70
|
|
|
|
|
|
|
12720072
| 47
| | Red | Green | Blue
| z | | 19.09
| znorm | | 14.91
| sky | 14.7 | 14.5 | 14.9
| S/N | 16.2 | 26.8 | 28.3
| S/N(c) | 25.2 | 22.3 | 10.7
| SN(E/C) | 0.65
|
|
|
|
|
|
|
12720073
| 47
| | Red | Green | Blue
| z | | 19.12
| znorm | | 14.94
| sky | 14.9 | 14.5 | 14.9
| S/N | 16.8 | 27.4 | 28.7
| S/N(c) | 25.9 | 22.7 | 11.0
| SN(E/C) | 0.67
|
|
|
|
|
|
|
12720074
| 47
| | Red | Green | Blue
| z | | 19.14
| znorm | | 14.96
| sky | 14.7 | 14.6 | 14.9
| S/N | 16.8 | 27.6 | 29.0
| S/N(c) | 26.0 | 23.0 | 11.1
| SN(E/C) | 0.67
|
|
|
|
|
|
|
12720075
| 47
| | Red | Green | Blue
| z | | 19.15
| znorm | | 14.97
| sky | 14.5 | 14.6 | 14.8
| S/N | 17.2 | 27.8 | 29.1
| S/N(c) | 26.7 | 23.9 | 11.2
| SN(E/C) | 0.66
|
|
|
|
|
|
|
12720076
| 47
| | Red | Green | Blue
| z | | 19.17
| znorm | | 14.99
| sky | 14.7 | 14.7 | 14.8
| S/N | 17.0 | 27.8 | 29.4
| S/N(c) | 26.9 | 24.1 | 11.3
| SN(E/C) | 0.65
|
|
|
|
|
|
|
12720077
| 47
| | Red | Green | Blue
| z | | 19.14
| znorm | | 14.96
| sky | 14.8 | 14.9 | 15.0
| S/N | 16.6 | 27.4 | 29.2
| S/N(c) | 26.5 | 23.9 | 11.2
| SN(E/C) | 0.62
|
|
|
|
|
|
|
12720078
| 47
| | Red | Green | Blue
| z | | 19.17
| znorm | | 14.99
| sky | 14.9 | 14.7 | 15.1
| S/N | 17.6 | 28.3 | 29.9
| S/N(c) | 27.0 | 24.0 | 11.4
| SN(E/C) | 0.64
|
|
|
|
|
|
|