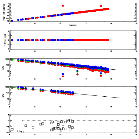
Left plots: red are targets, blue are telluric. Observed mags are calculated from median value of green chip. Zeropoint gives overall throughput: bigger number is more throughput.
First spatial plots: circles are objects, squares are tellurics, crosses are sky fibers. Colors give deviation of observed mag from expected 2MASS mag using the median zeropoint; red is brighter
Second spatial plots: circles are sky fibers. Colors give sky line brightness relative to plate median sky line brightness
FrameNreadsZeropointsMag plots Spatial mag deviation Spatial sky 16325A emission deviations (filled: sky, open: star) Spatial sky continuum emission Spatial sky telluric CO2 absorption deviations (filled: H < 10)
0 0
RedGreenBlue
z17.64
znorm Inf
sky -Inf -Inf -Inf
S/N 30.1 52.0 55.0
S/N(c) 0.0 0.0 0.0
SN(E/C) 0.50

IPAIRNAMESHIFTNEWSHIFTS/N NAMESHIFTNEWSHIFTS/N
0 12720073 0.485760 0.00000 19.1148 12720074 -0.00197511 0.487735 19.1353
1 12720076 0.483347 0.00241300 19.1552 12720078 -0.00140389 0.487164 19.1772
2 12720077 0.483329 0.00243101 19.1282 12720075 -0.00178348 0.487543 19.1442
3 12720072 0.485118 0.000642002 19.0911 12720071 0.00000 0.485760 19.0887