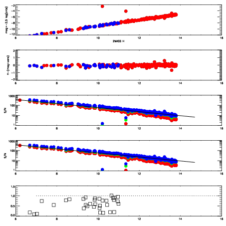
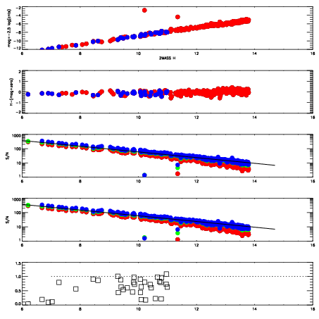
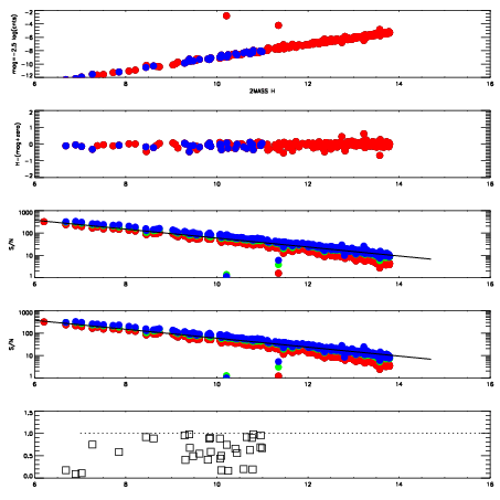
Frame | Nreads | Zeropoints | Mag plots
| Spatial mag deviation
| Spatial sky 16325A emission deviations (filled: sky, open: star)
| Spatial sky continuum emission
| Spatial sky telluric CO2 absorption deviations (filled: H < 10)
|
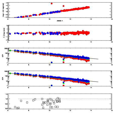
12740069
| 47
| | Red | Green | Blue
| z | | 18.94
| znorm | | 14.76
| sky | 14.7 | 14.7 | 15.0
| S/N | 13.9 | 23.8 | 25.4
| S/N(c) | 18.9 | 25.7 | 9.7
| SN(E/C) | 0.63
|
|
|
|
|
|
|
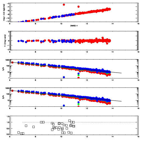
12740070
| 47
| | Red | Green | Blue
| z | | 19.00
| znorm | | 14.82
| sky | 15.0 | 14.8 | 15.2
| S/N | 14.4 | 24.8 | 26.9
| S/N(c) | 20.4 | 27.3 | 10.3
| SN(E/C) | 0.65
|
|
|
|
|
|
|
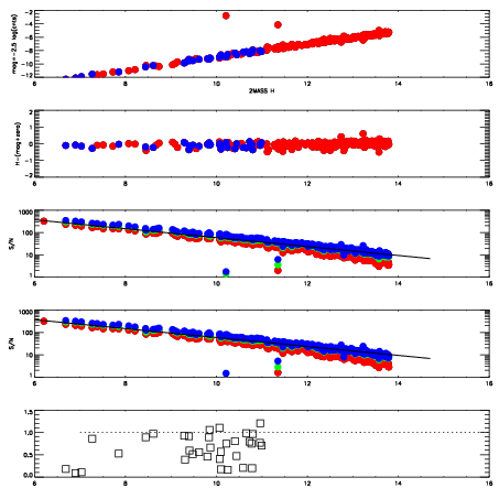
12740071
| 47
| | Red | Green | Blue
| z | | 19.05
| znorm | | 14.87
| sky | 14.7 | 14.7 | 15.2
| S/N | 15.6 | 26.1 | 28.3
| S/N(c) | 21.3 | 28.3 | 10.7
| SN(E/C) | 0.62
|
|
|
|
|
|
|
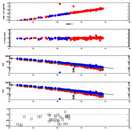
12740072
| 47
| | Red | Green | Blue
| z | | 19.07
| znorm | | 14.89
| sky | 15.2 | 14.9 | 15.3
| S/N | 15.4 | 26.1 | 28.3
| S/N(c) | 21.3 | 27.8 | 10.7
| SN(E/C) | 0.66
|
|
|
|
|
|
|
12740073
| 47
| | Red | Green | Blue
| z | | 19.10
| znorm | | 14.92
| sky | 14.8 | 14.9 | 15.2
| S/N | 15.9 | 26.7 | 28.9
| S/N(c) | 22.0 | 28.7 | 11.0
| SN(E/C) | 0.61
|
|
|
|
|
|
|
12740074
| 47
| | Red | Green | Blue
| z | | 19.10
| znorm | | 14.92
| sky | 14.8 | 15.0 | 15.4
| S/N | 15.9 | 26.8 | 28.6
| S/N(c) | 21.8 | 28.7 | 11.0
| SN(E/C) | 0.62
|
|
|
|
|
|
|
12740075
| 47
| | Red | Green | Blue
| z | | 19.08
| znorm | | 14.89
| sky | 14.7 | 14.9 | 15.3
| S/N | 15.7 | 26.3 | 28.6
| S/N(c) | 21.8 | 28.4 | 10.8
| SN(E/C) | 0.60
|
|
|
|
|
|
|
12740076
| 47
| | Red | Green | Blue
| z | | 19.08
| znorm | | 14.90
| sky | 14.8 | 14.9 | 15.1
| S/N | 15.4 | 26.5 | 28.3
| S/N(c) | 21.7 | 28.5 | 10.9
| SN(E/C) | 0.63
|
|
|
|
|
|
|