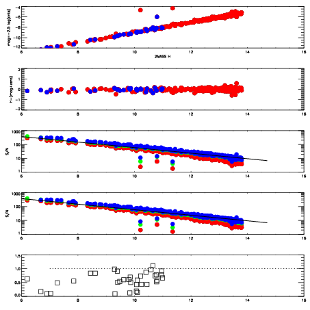
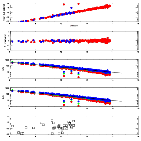
Frame | Nreads | Zeropoints | Mag plots
| Spatial mag deviation
| Spatial sky 16325A emission deviations (filled: sky, open: star)
| Spatial sky continuum emission
| Spatial sky telluric CO2 absorption deviations (filled: H < 10)
|
12720082
| 47
| | Red | Green | Blue
| z | | 18.99
| znorm | | 14.81
| sky | 14.5 | 14.3 | 14.4
| S/N | 14.9 | 24.7 | 26.8
| S/N(c) | 31.0 | 25.7 | 11.3
| SN(E/C) | 0.57
|
|
|
|
|
|
|
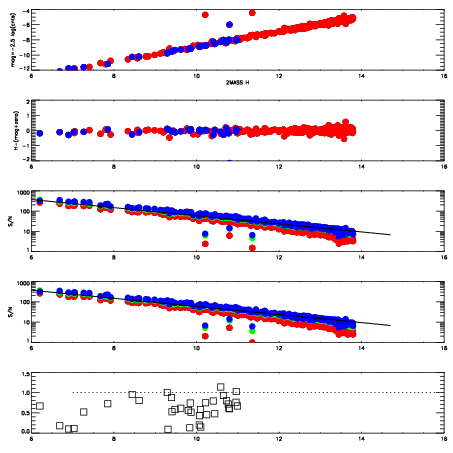
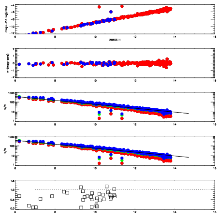
12720083
| 47
| | Red | Green | Blue
| z | | 19.05
| znorm | | 14.87
| sky | 14.7 | 14.6 | 14.7
| S/N | 15.3 | 25.8 | 27.9
| S/N(c) | 31.9 | 26.5 | 11.8
| SN(E/C) | 0.60
|
|
|
|
|
|
|
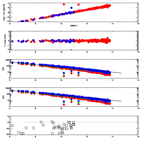
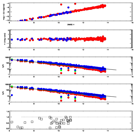
12720084
| 47
| | Red | Green | Blue
| z | | 19.06
| znorm | | 14.88
| sky | 14.5 | 14.5 | 14.6
| S/N | 15.5 | 26.3 | 28.0
| S/N(c) | 33.3 | 27.0 | 11.8
| SN(E/C) | 0.58
|
|
|
|
|
|
|
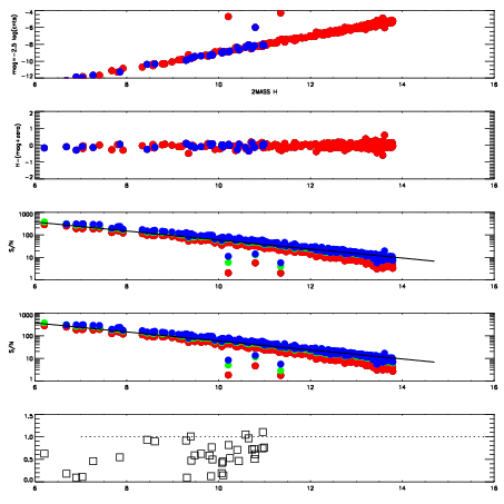
12720085
| 47
| | Red | Green | Blue
| z | | 18.93
| znorm | | 14.75
| sky | 14.7 | 14.6 | 14.6
| S/N | 14.4 | 24.3 | 25.8
| S/N(c) | 31.2 | 25.3 | 11.2
| SN(E/C) | 0.60
|
|
|
|
|
|
|
12720086
| 47
| | Red | Green | Blue
| z | | 19.06
| znorm | | 14.88
| sky | 14.5 | 14.5 | 14.6
| S/N | 15.5 | 26.1 | 27.8
| S/N(c) | 32.9 | 26.8 | 11.9
| SN(E/C) | 0.59
|
|
|
|
|
|
|
12720087
| 47
| | Red | Green | Blue
| z | | 19.07
| znorm | | 14.89
| sky | 14.7 | 14.6 | 14.7
| S/N | 15.7 | 26.5 | 28.1
| S/N(c) | 33.4 | 27.1 | 11.9
| SN(E/C) | 0.59
|
|
|
|
|
|
|
12720088
| 47
| | Red | Green | Blue
| z | | 18.99
| znorm | | 14.80
| sky | 14.6 | 14.5 | 14.7
| S/N | 15.1 | 25.2 | 26.7
| S/N(c) | 31.5 | 25.8 | 11.5
| SN(E/C) | 0.63
|
|
|
|
|
|
|
12720089
| 47
| | Red | Green | Blue
| z | | 18.95
| znorm | | 14.77
| sky | 14.8 | 14.6 | 14.7
| S/N | 14.7 | 25.0 | 26.7
| S/N(c) | 30.4 | 25.5 | 11.3
| SN(E/C) | 0.61
|
|
|
|
|
|
|