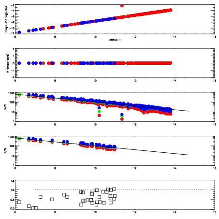
Left plots: red are targets, blue are telluric. Observed mags are calculated from median value of green chip. Zeropoint gives overall throughput: bigger number is more throughput.
First spatial plots: circles are objects, squares are tellurics, crosses are sky fibers. Colors give deviation of observed mag from expected 2MASS mag using the median zeropoint; red is brighter
Second spatial plots: circles are sky fibers. Colors give sky line brightness relative to plate median sky line brightness
FrameNreadsZeropointsMag plots Spatial mag deviation Spatial sky 16325A emission deviations (filled: sky, open: star) Spatial sky continuum emission Spatial sky telluric CO2 absorption deviations (filled: H < 10)
0 0
RedGreenBlue
z17.64
znorm Inf
sky -Inf -Inf -Inf
S/N 24.2 41.8 44.6
S/N(c) 0.0 0.0 0.0
SN(E/C) 0.60

IPAIRNAMESHIFTNEWSHIFTS/N NAMESHIFTNEWSHIFTS/N
0 12770029 0.485958 0.00000 19.1036 12770031 -0.00125048 0.487208 19.1001
1 12770030 0.485825 0.000133008 19.1354 12770032 -0.00172868 0.487687 19.1303
2 12770033 0.485597 0.000360996 19.0815 12770028 0.00000 0.485958 19.0419