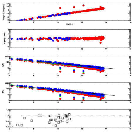
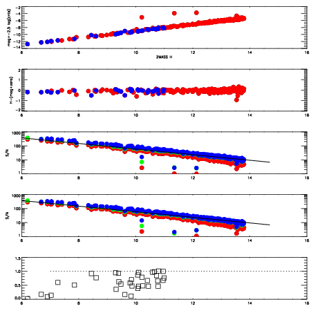
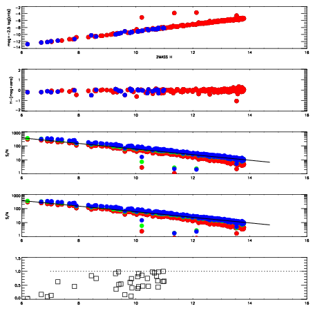
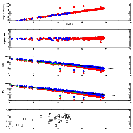
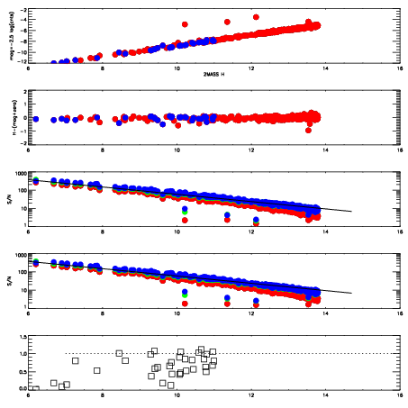
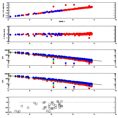
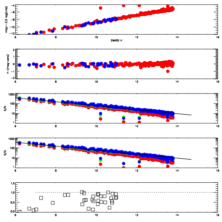
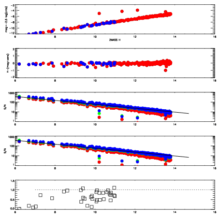
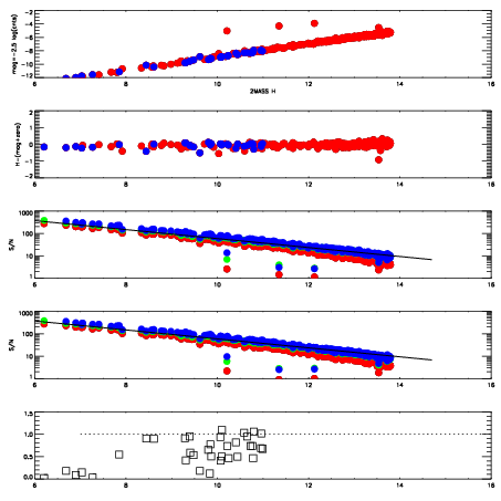
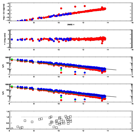
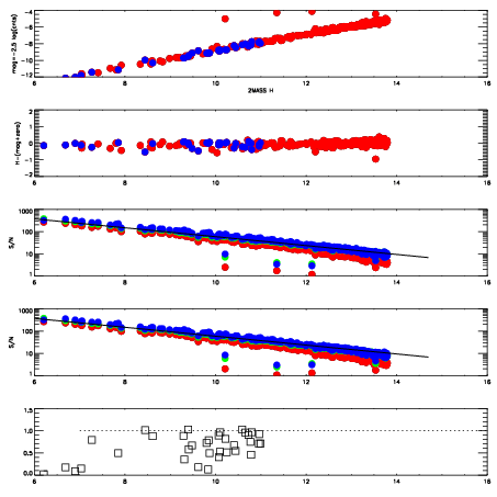
Frame | Nreads | Zeropoints | Mag plots
| Spatial mag deviation
| Spatial sky 16325A emission deviations (filled: sky, open: star)
| Spatial sky continuum emission
| Spatial sky telluric CO2 absorption deviations (filled: H < 10)
|
12850004
| 47
| | Red | Green | Blue
| z | | 18.89
| znorm | | 14.71
| sky | 14.8 | 14.7 | 14.6
| S/N | 14.4 | 24.7 | 25.7
| S/N(c) | 11.0 | 38.6 | 13.7
| SN(E/C) | 0.62
|
|
|
|
|
|
|
12850005
| 47
| | Red | Green | Blue
| z | | 18.93
| znorm | | 14.75
| sky | 14.8 | 14.8 | 15.2
| S/N | 14.1 | 24.4 | 26.3
| S/N(c) | 11.6 | 39.0 | 14.3
| SN(E/C) | 0.71
|
|
|
|
|
|
|
12850006
| 47
| | Red | Green | Blue
| z | | 18.84
| znorm | | 14.65
| sky | 14.5 | 14.8 | 15.0
| S/N | 13.3 | 23.0 | 24.4
| S/N(c) | 10.9 | 37.4 | 13.6
| SN(E/C) | 0.68
|
|
|
|
|
|
|
12850007
| 47
| | Red | Green | Blue
| z | | 18.87
| znorm | | 14.69
| sky | 15.0 | 15.0 | 15.0
| S/N | 13.2 | 22.9 | 24.5
| S/N(c) | 10.9 | 37.8 | 13.7
| SN(E/C) | 0.67
|
|
|
|
|
|
|
12850008
| 47
| | Red | Green | Blue
| z | | 18.87
| znorm | | 14.69
| sky | 14.8 | 14.8 | 14.9
| S/N | 13.4 | 22.8 | 24.6
| S/N(c) | 10.9 | 38.3 | 13.8
| SN(E/C) | 0.66
|
|
|
|
|
|
|
12850009
| 47
| | Red | Green | Blue
| z | | 18.96
| znorm | | 14.78
| sky | 15.0 | 14.9 | 15.0
| S/N | 14.3 | 24.2 | 26.0
| S/N(c) | 11.3 | 39.4 | 14.3
| SN(E/C) | 0.68
|
|
|
|
|
|
|
12850010
| 47
| | Red | Green | Blue
| z | | 19.01
| znorm | | 14.83
| sky | 14.6 | 15.0 | 15.0
| S/N | 15.0 | 24.7 | 26.9
| S/N(c) | 11.7 | 40.5 | 14.7
| SN(E/C) | 0.62
|
|
|
|
|
|
|
12850011
| 47
| | Red | Green | Blue
| z | | 19.00
| znorm | | 14.82
| sky | 14.8 | 15.0 | 15.1
| S/N | 14.8 | 25.2 | 27.3
| S/N(c) | 11.5 | 40.4 | 14.4
| SN(E/C) | 0.65
|
|
|
|
|
|
|
12850012
| 47
| | Red | Green | Blue
| z | | 19.13
| znorm | | 14.95
| sky | 14.9 | 14.9 | 14.9
| S/N | 16.1 | 27.2 | 29.6
| S/N(c) | 12.4 | 42.1 | 15.1
| SN(E/C) | 0.62
|
|
|
|
|
|
|
12850013
| 47
| | Red | Green | Blue
| z | | 19.14
| znorm | | 14.96
| sky | 14.9 | 14.9 | 15.1
| S/N | 16.4 | 27.6 | 30.0
| S/N(c) | 12.4 | 43.3 | 15.7
| SN(E/C) | 0.62
|
|
|
|
|
|
|
12850014
| 47
| | Red | Green | Blue
| z | | 19.16
| znorm | | 14.98
| sky | 14.7 | 14.8 | 15.0
| S/N | 16.6 | 27.7 | 30.1
| S/N(c) | 12.5 | 43.5 | 15.7
| SN(E/C) | 0.63
|
|
|
|
|
|
|
12850015
| 47
| | Red | Green | Blue
| z | | 19.17
| znorm | | 14.99
| sky | 14.7 | 14.7 | 14.8
| S/N | 16.8 | 27.7 | 30.3
| S/N(c) | 12.7 | 42.7 | 15.7
| SN(E/C) | 0.59
|
|
|
|
|
|
|