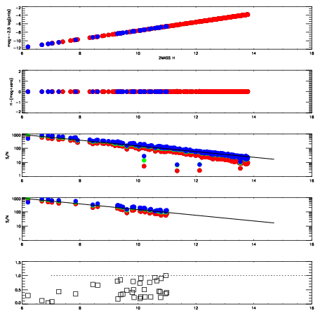
Left plots: red are targets, blue are telluric. Observed mags are calculated from median value of green chip. Zeropoint gives overall throughput: bigger number is more throughput.
First spatial plots: circles are objects, squares are tellurics, crosses are sky fibers. Colors give deviation of observed mag from expected 2MASS mag using the median zeropoint; red is brighter
Second spatial plots: circles are sky fibers. Colors give sky line brightness relative to plate median sky line brightness
FrameNreadsZeropointsMag plots Spatial mag deviation Spatial sky 16325A emission deviations (filled: sky, open: star) Spatial sky continuum emission Spatial sky telluric CO2 absorption deviations (filled: H < 10)
0 0
RedGreenBlue
z17.64
znorm Inf
sky -Inf -Inf -Inf
S/N 32.8 57.3 61.0
S/N(c) 0.0 0.0 0.0
SN(E/C) 0.43

IPAIRNAMESHIFTNEWSHIFTS/N NAMESHIFTNEWSHIFTS/N
0 12850009 0.494923 0.00000 18.9523 12850004 0.00000 0.494923 18.8937
1 12850014 0.492383 0.00253999 19.1541 12850015 0.00767742 0.487246 19.1649
2 12850013 0.491932 0.00299099 19.1382 12850012 0.00757358 0.487349 19.1186
3 12850010 0.494667 0.000256002 19.0076 12850011 0.00802355 0.486899 18.9952
4 12850005 0.492499 0.00242400 18.9245 12850008 0.00887850 0.486044 18.8758
5 12850006 0.493364 0.00155899 18.8367 12850007 0.00895777 0.485965 18.8621