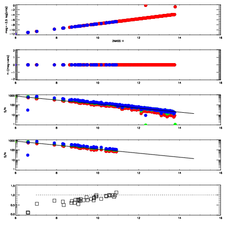
Left plots: red are targets, blue are telluric. Observed mags are calculated from median value of green chip. Zeropoint gives overall throughput: bigger number is more throughput.
First spatial plots: circles are objects, squares are tellurics, crosses are sky fibers. Colors give deviation of observed mag from expected 2MASS mag using the median zeropoint; red is brighter
Second spatial plots: circles are sky fibers. Colors give sky line brightness relative to plate median sky line brightness
FrameNreadsZeropointsMag plots Spatial mag deviation Spatial sky 16325A emission deviations (filled: sky, open: star) Spatial sky continuum emission Spatial sky telluric CO2 absorption deviations (filled: H < 10)
0 0
RedGreenBlue
z17.64
znorm Inf
sky -Inf -Inf -Inf
S/N 32.4 52.9 55.8
S/N(c) 0.0 0.0 0.0
SN(E/C) 0.76

IPAIRNAMESHIFTNEWSHIFTS/N NAMESHIFTNEWSHIFTS/N
0 10260016 0.494970 0.00000 19.2292 10260014 0.00172715 0.493243 19.2305
1 10260015 0.494963 7.00355e-06 19.2269 10260013 0.00177718 0.493193 19.2296
2 10260012 0.493233 0.00173700 19.2159 10260017 -0.000280739 0.495251 19.2160
3 10260011 0.492650 0.00231999 19.1848 10260010 0.00000 0.494970 19.1813