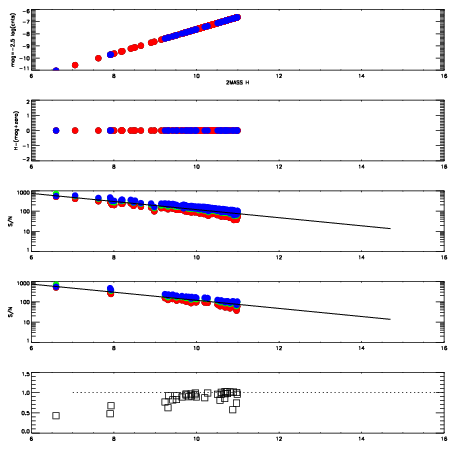
Left plots: red are targets, blue are telluric. Observed mags are calculated from median value of green chip. Zeropoint gives overall throughput: bigger number is more throughput.
First spatial plots: circles are objects, squares are tellurics, crosses are sky fibers. Colors give deviation of observed mag from expected 2MASS mag using the median zeropoint; red is brighter
Second spatial plots: circles are sky fibers. Colors give sky line brightness relative to plate median sky line brightness
FrameNreadsZeropointsMag plots Spatial mag deviation Spatial sky 16325A emission deviations (filled: sky, open: star) Spatial sky continuum emission Spatial sky telluric CO2 absorption deviations (filled: H < 10)
0 0
RedGreenBlue
z17.64
znorm Inf
sky -Inf -Inf -Inf
S/N 33.6 50.5 55.7
S/N(c) 0.0 0.0 0.0
SN(E/C) 0.92

IPAIRNAMESHIFTNEWSHIFTS/N NAMESHIFTNEWSHIFTS/N
0 10540013 0.503009 0.00000 19.1131 10540014 0.00299382 0.500015 19.1665
1 10540016 0.501283 0.00172603 19.1747 10540015 0.00246198 0.500547 19.1763
2 10540017 0.501159 0.00185001 19.1096 10540018 0.000505752 0.502503 19.0702
3 10540012 0.502984 2.50340e-05 18.9653 10540011 0.00000 0.503009 18.8314