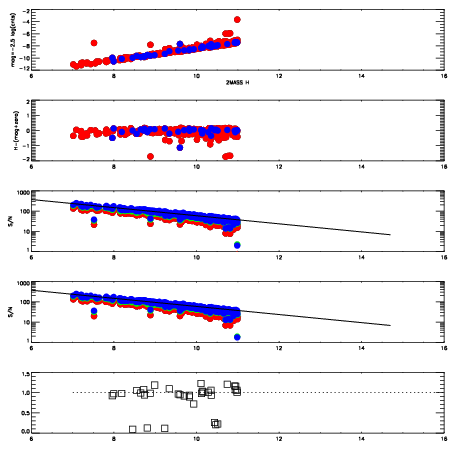
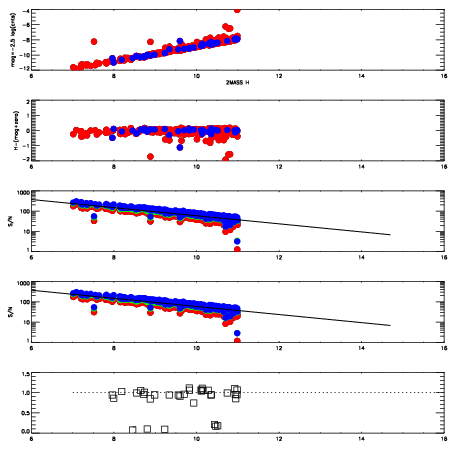
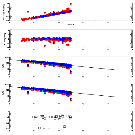
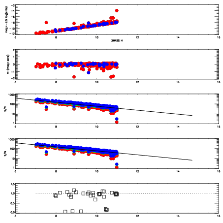
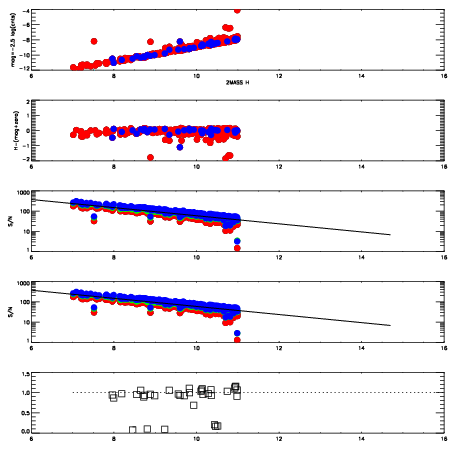
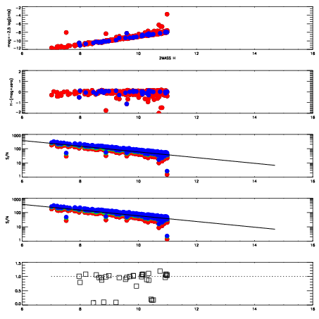
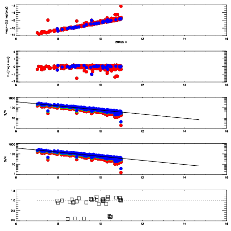
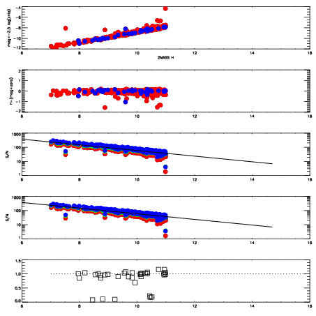
Frame | Nreads | Zeropoints | Mag plots
| Spatial mag deviation
| Spatial sky 16325A emission deviations (filled: sky, open: star)
| Spatial sky continuum emission
| Spatial sky telluric CO2 absorption deviations (filled: H < 10)
|
12320055
| 47
| | Red | Green | Blue
| z | | 18.71
| znorm | | 14.53
| sky | 14.3 | 14.0 | 14.1
| S/N | 14.5 | 21.8 | 24.5
| S/N(c) | 7.1 | 20.9 | 30.0
| SN(E/C) | 1.00
|
|
|
|
|
|
|
12320056
| 47
| | Red | Green | Blue
| z | | 18.84
| znorm | | 14.66
| sky | 14.4 | 14.2 | 14.4
| S/N | 15.4 | 23.3 | 26.1
| S/N(c) | 7.5 | 22.7 | 32.3
| SN(E/C) | 0.97
|
|
|
|
|
|
|
12320057
| 47
| | Red | Green | Blue
| z | | 18.59
| znorm | | 14.41
| sky | 14.3 | 14.2 | 14.3
| S/N | 13.3 | 20.7 | 23.0
| S/N(c) | 6.6 | 19.9 | 28.4
| SN(E/C) | 0.98
|
|
|
|
|
|
|
12320058
| 47
| | Red | Green | Blue
| z | | 18.41
| znorm | | 14.23
| sky | 14.0 | 14.0 | 14.1
| S/N | 11.7 | 18.6 | 20.6
| S/N(c) | 5.8 | 18.1 | 25.8
| SN(E/C) | 0.98
|
|
|
|
|
|
|
12320059
| 47
| | Red | Green | Blue
| z | | 18.86
| znorm | | 14.68
| sky | 14.3 | 14.3 | 14.3
| S/N | 15.6 | 23.9 | 26.4
| S/N(c) | 7.6 | 22.8 | 32.6
| SN(E/C) | 0.94
|
|
|
|
|
|
|
12320060
| 47
| | Red | Green | Blue
| z | | 18.94
| znorm | | 14.76
| sky | 14.3 | 14.4 | 14.4
| S/N | 16.2 | 24.8 | 27.4
| S/N(c) | 8.0 | 24.0 | 33.8
| SN(E/C) | 0.99
|
|
|
|
|
|
|
12320061
| 47
| | Red | Green | Blue
| z | | 18.92
| znorm | | 14.74
| sky | 14.4 | 14.3 | 14.3
| S/N | 16.0 | 24.6 | 27.0
| S/N(c) | 7.8 | 23.5 | 33.5
| SN(E/C) | 0.95
|
|
|
|
|
|
|
12320062
| 47
| | Red | Green | Blue
| z | | 18.87
| znorm | | 14.69
| sky | 14.2 | 14.3 | 14.4
| S/N | 15.8 | 24.3 | 26.3
| S/N(c) | 7.7 | 23.3 | 33.0
| SN(E/C) | 0.95
|
|
|
|
|
|
|