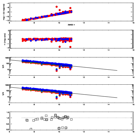
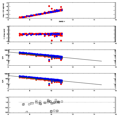
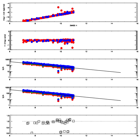
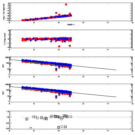
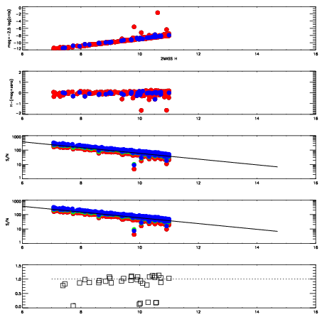
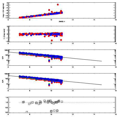
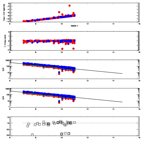
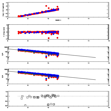
Frame | Nreads | Zeropoints | Mag plots
| Spatial mag deviation
| Spatial sky 16325A emission deviations (filled: sky, open: star)
| Spatial sky continuum emission
| Spatial sky telluric CO2 absorption deviations (filled: H < 10)
|
12020034
| 47
| | Red | Green | Blue
| z | | 18.73
| znorm | | 14.55
| sky | 14.4 | 14.1 | 14.1
| S/N | 15.1 | 22.3 | 23.1
| S/N(c) | 17.3 | 31.2 | 29.7
| SN(E/C) | 0.99
|
|
|
|
|
|
|
12020035
| 47
| | Red | Green | Blue
| z | | 18.81
| znorm | | 14.63
| sky | 14.5 | 14.3 | 14.4
| S/N | 15.6 | 23.0 | 24.4
| S/N(c) | 17.9 | 32.4 | 30.8
| SN(E/C) | 0.97
|
|
|
|
|
|
|
12020036
| 47
| | Red | Green | Blue
| z | | 18.90
| znorm | | 14.72
| sky | 14.3 | 14.4 | 14.5
| S/N | 16.5 | 24.0 | 25.8
| S/N(c) | 18.8 | 33.7 | 32.1
| SN(E/C) | 0.94
|
|
|
|
|
|
|
12020037
| 47
| | Red | Green | Blue
| z | | 18.90
| znorm | | 14.72
| sky | 14.3 | 14.3 | 14.4
| S/N | 16.7 | 24.2 | 25.9
| S/N(c) | 19.0 | 34.0 | 32.5
| SN(E/C) | 0.93
|
|
|
|
|
|
|
12020038
| 47
| | Red | Green | Blue
| z | | 18.92
| znorm | | 14.74
| sky | 14.4 | 14.3 | 14.4
| S/N | 16.8 | 24.5 | 26.3
| S/N(c) | 19.3 | 34.7 | 32.9
| SN(E/C) | 0.96
|
|
|
|
|
|
|
12020039
| 47
| | Red | Green | Blue
| z | | 18.88
| znorm | | 14.70
| sky | 14.4 | 14.3 | 14.4
| S/N | 16.3 | 24.3 | 26.0
| S/N(c) | 18.7 | 33.9 | 32.6
| SN(E/C) | 0.95
|
|
|
|
|
|
|
12020040
| 47
| | Red | Green | Blue
| z | | 18.95
| znorm | | 14.77
| sky | 14.5 | 14.3 | 14.5
| S/N | 17.1 | 25.0 | 26.8
| S/N(c) | 19.7 | 35.4 | 33.6
| SN(E/C) | 0.93
|
|
|
|
|
|
|
12020041
| 47
| | Red | Green | Blue
| z | | 18.83
| znorm | | 14.65
| sky | 14.7 | 14.5 | 14.5
| S/N | 15.8 | 23.7 | 25.5
| S/N(c) | 18.5 | 33.3 | 32.1
| SN(E/C) | 0.94
|
|
|
|
|
|
|