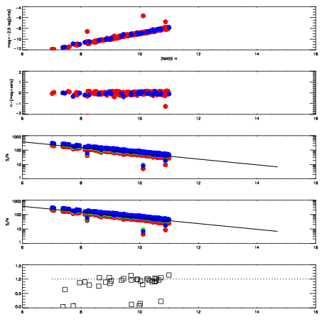
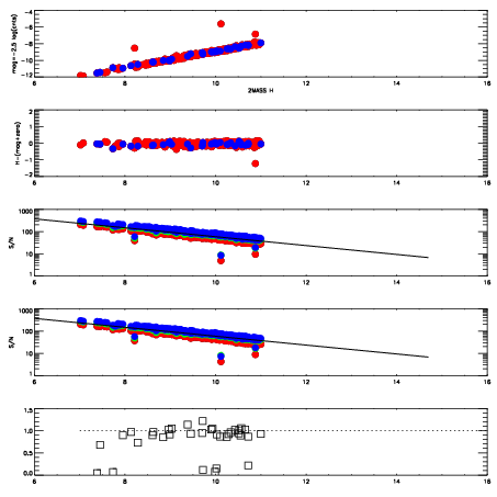
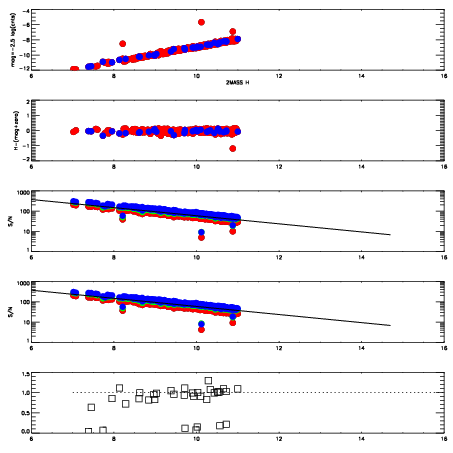
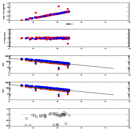
Frame | Nreads | Zeropoints | Mag plots
| Spatial mag deviation
| Spatial sky 16325A emission deviations (filled: sky, open: star)
| Spatial sky continuum emission
| Spatial sky telluric CO2 absorption deviations (filled: H < 10)
|
12090060
| 47
| | Red | Green | Blue
| z | | 18.82
| znorm | | 14.64
| sky | 14.7 | 14.5 | 14.4
| S/N | 16.2 | 23.4 | 25.2
| S/N(c) | 24.4 | 26.9 | 11.1
| SN(E/C) | 0.95
|
|
|
|
|
|
|
12090061
| 47
| | Red | Green | Blue
| z | | 18.85
| znorm | | 14.67
| sky | 14.8 | 14.5 | 14.6
| S/N | 16.5 | 23.7 | 25.5
| S/N(c) | 24.7 | 27.2 | 11.3
| SN(E/C) | 0.97
|
|
|
|
|
|
|
12090062
| 47
| | Red | Green | Blue
| z | | 18.85
| znorm | | 14.67
| sky | 14.6 | 14.5 | 14.6
| S/N | 16.4 | 23.9 | 25.9
| S/N(c) | 24.8 | 27.6 | 11.4
| SN(E/C) | 0.92
|
|
|
|
|
|
|
12090063
| 47
| | Red | Green | Blue
| z | | 18.94
| znorm | | 14.76
| sky | 14.7 | 14.6 | 14.7
| S/N | 17.3 | 24.7 | 26.6
| S/N(c) | 25.7 | 28.7 | 12.0
| SN(E/C) | 0.93
|
|
|
|
|
|
|
12090064
| 47
| | Red | Green | Blue
| z | | 19.01
| znorm | | 14.83
| sky | 14.6 | 14.5 | 14.6
| S/N | 17.7 | 25.6 | 27.7
| S/N(c) | 26.5 | 29.5 | 12.4
| SN(E/C) | 0.92
|
|
|
|
|
|
|
12090065
| 47
| | Red | Green | Blue
| z | | 18.95
| znorm | | 14.77
| sky | 14.6 | 14.6 | 14.7
| S/N | 17.0 | 24.9 | 27.1
| S/N(c) | 25.9 | 29.0 | 12.1
| SN(E/C) | 0.92
|
|
|
|
|
|
|
12090066
| 47
| | Red | Green | Blue
| z | | 18.97
| znorm | | 14.79
| sky | 14.4 | 14.4 | 14.7
| S/N | 17.2 | 25.1 | 27.6
| S/N(c) | 26.2 | 29.3 | 12.3
| SN(E/C) | 0.95
|
|
|
|
|
|
|
12090067
| 47
| | Red | Green | Blue
| z | | 19.00
| znorm | | 14.82
| sky | 14.7 | 14.6 | 14.5
| S/N | 17.5 | 25.7 | 28.2
| S/N(c) | 26.7 | 29.9 | 12.5
| SN(E/C) | 0.97
|
|
|
|
|
|
|