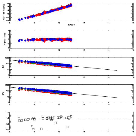
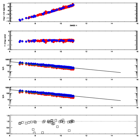
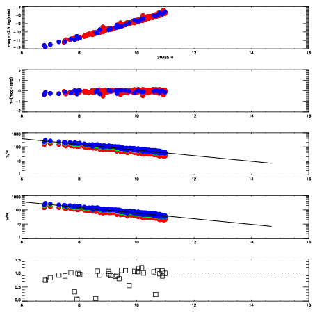
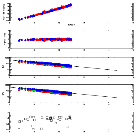
Left plots: red are targets, blue are telluric. Observed mags are calculated from median value of green chip. Zeropoint gives overall throughput: bigger number is more throughput.
First spatial plots: circles are objects, squares are tellurics, crosses are sky fibers. Colors give deviation of observed mag from expected 2MASS mag using the median zeropoint; red is brighter
Second spatial plots: circles are sky fibers. Colors give sky line brightness relative to plate median sky line brightness
FrameNreadsZeropointsMag plots Spatial mag deviation Spatial sky 16325A emission deviations (filled: sky, open: star) Spatial sky continuum emission Spatial sky telluric CO2 absorption deviations (filled: H < 10)
11790041 47
RedGreenBlue
z18.60
znorm14.42
sky 14.8 14.5 14.4
S/N 14.1 21.5 22.0
S/N(c) 15.6 20.9 12.2
SN(E/C) 0.93
11790042 47
RedGreenBlue
z18.59
znorm14.41
sky 14.8 14.6 14.7
S/N 13.8 21.1 22.1
S/N(c) 15.3 20.4 12.0
SN(E/C) 0.94
11790043 47
RedGreenBlue
z18.68
znorm14.50
sky 14.5 14.6 14.5
S/N 14.5 22.0 23.0
S/N(c) 16.2 21.3 12.5
SN(E/C) 0.96
11790044 47
RedGreenBlue
z18.74
znorm14.56
sky 13.6 13.4 13.2
S/N 14.5 21.9 22.8
S/N(c) 16.5 21.6 12.7
SN(E/C) 0.95