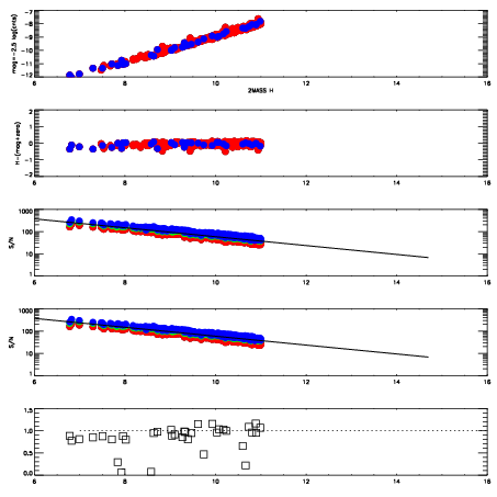
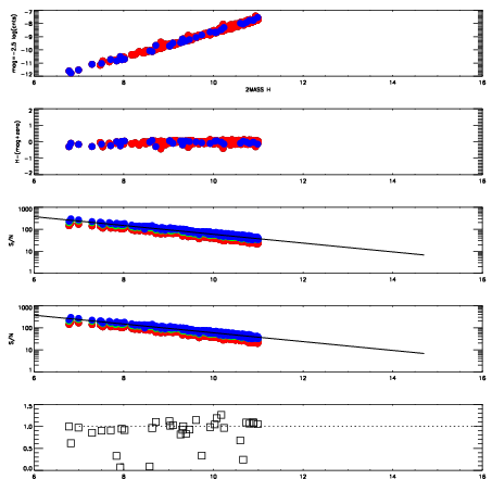
Left plots: red are targets, blue are telluric. Observed mags are calculated from median value of green chip. Zeropoint gives overall throughput: bigger number is more throughput.
First spatial plots: circles are objects, squares are tellurics, crosses are sky fibers. Colors give deviation of observed mag from expected 2MASS mag using the median zeropoint; red is brighter
Second spatial plots: circles are sky fibers. Colors give sky line brightness relative to plate median sky line brightness
FrameNreadsZeropointsMag plots Spatial mag deviation Spatial sky 16325A emission deviations (filled: sky, open: star) Spatial sky continuum emission Spatial sky telluric CO2 absorption deviations (filled: H < 10)
11830021 47
RedGreenBlue
z18.67
znorm14.49
sky 14.9 14.4 14.5
S/N 14.3 21.8 22.8
S/N(c) 16.3 21.3 12.5
SN(E/C) 0.96
11830022 47
RedGreenBlue
z18.98
znorm14.80
sky 14.6 14.4 14.7
S/N 17.0 25.4 26.9
S/N(c) 18.7 24.6 14.5
SN(E/C) 0.92