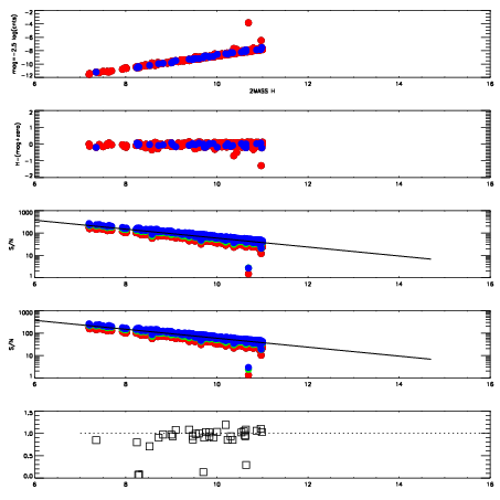
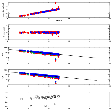
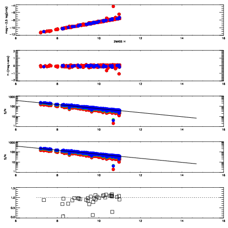
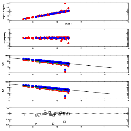
Left plots: red are targets, blue are telluric. Observed mags are calculated from median value of green chip. Zeropoint gives overall throughput: bigger number is more throughput.
First spatial plots: circles are objects, squares are tellurics, crosses are sky fibers. Colors give deviation of observed mag from expected 2MASS mag using the median zeropoint; red is brighter
Second spatial plots: circles are sky fibers. Colors give sky line brightness relative to plate median sky line brightness
FrameNreadsZeropointsMag plots Spatial mag deviation Spatial sky 16325A emission deviations (filled: sky, open: star) Spatial sky continuum emission Spatial sky telluric CO2 absorption deviations (filled: H < 10)
8990040 47
RedGreenBlue
z18.52
znorm14.34
sky 14.6 14.5 14.3
S/N 13.6 20.8 22.1
S/N(c) 18.1 23.2 14.5
SN(E/C) 0.97
8990041 47
RedGreenBlue
z18.65
znorm14.47
sky 14.4 14.5 14.4
S/N 14.5 22.0 23.7
S/N(c) 19.2 24.8 15.5
SN(E/C) 0.99
8990042 47
RedGreenBlue
z18.71
znorm14.53
sky 14.5 14.6 14.4
S/N 14.8 22.6 24.0
S/N(c) 19.8 25.2 15.9
SN(E/C) 0.97
8990043 47
RedGreenBlue
z18.74
znorm14.56
sky 14.3 14.4 14.4
S/N 15.2 23.0 25.0
S/N(c) 20.2 25.8 16.2
SN(E/C) 0.94