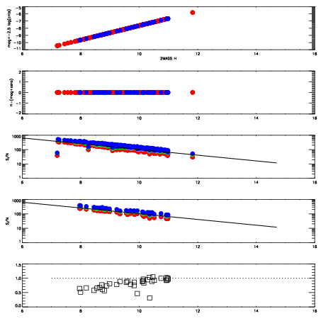
Left plots: red are targets, blue are telluric. Observed mags are calculated from median value of green chip. Zeropoint gives overall throughput: bigger number is more throughput.
First spatial plots: circles are objects, squares are tellurics, crosses are sky fibers. Colors give deviation of observed mag from expected 2MASS mag using the median zeropoint; red is brighter
Second spatial plots: circles are sky fibers. Colors give sky line brightness relative to plate median sky line brightness
FrameNreadsZeropointsMag plots Spatial mag deviation Spatial sky 16325A emission deviations (filled: sky, open: star) Spatial sky continuum emission Spatial sky telluric CO2 absorption deviations (filled: H < 10)
0 0
RedGreenBlue
z17.64
znorm Inf
sky -Inf -Inf -Inf
S/N 25.0 37.8 43.8
S/N(c) 0.0 0.0 0.0
SN(E/C) 0.86

IPAIRNAMESHIFTNEWSHIFTS/N NAMESHIFTNEWSHIFTS/N
0 09030034 0.465852 0.00000 19.1959 09030033 0.00000 0.465852 19.1787
1 09030035 0.461797 0.00405499 19.1902 09030036 0.00237987 0.463472 19.1739
2 09030038 0.464166 0.00168601 18.8951 09030037 0.00169178 0.464160 19.1651