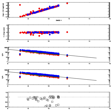
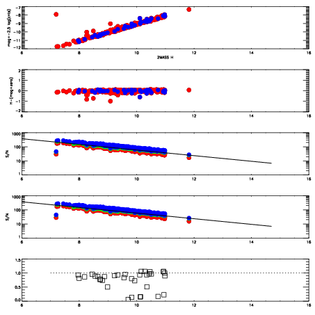
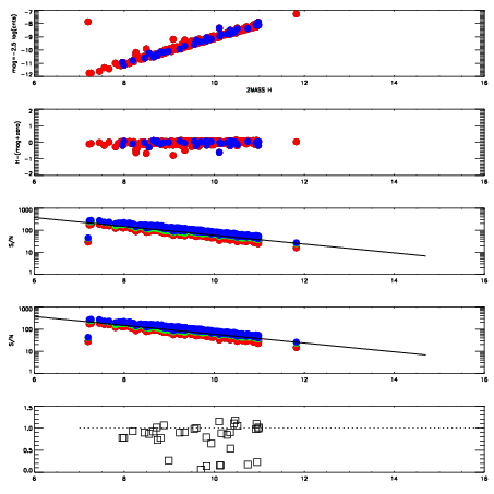
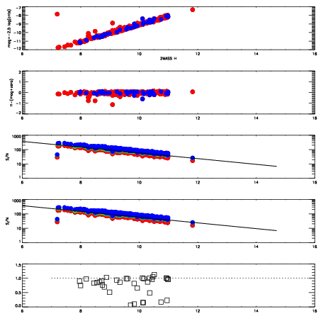
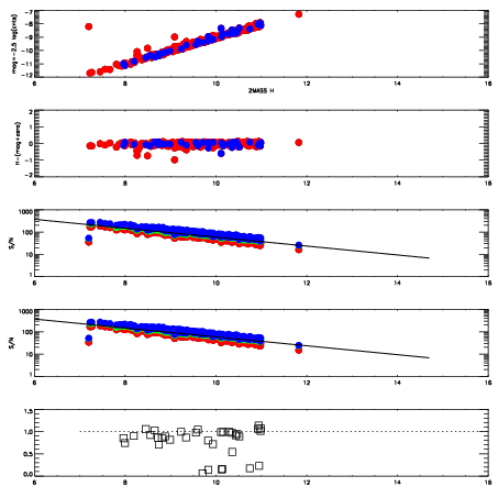
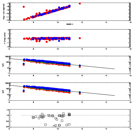
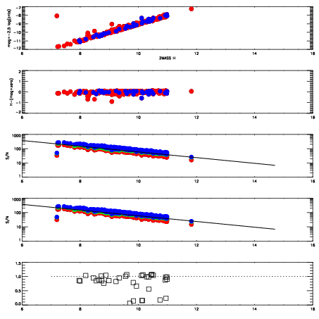
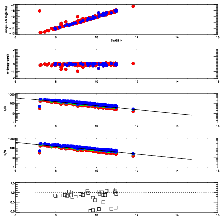
Frame | Nreads | Zeropoints | Mag plots
| Spatial mag deviation
| Spatial sky 16325A emission deviations (filled: sky, open: star)
| Spatial sky continuum emission
| Spatial sky telluric CO2 absorption deviations (filled: H < 10)
|
9080070
| 47
| | Red | Green | Blue
| z | | 19.11
| znorm | | 14.93
| sky | 14.2 | 14.1 | 14.1
| S/N | 14.3 | 21.5 | 22.3
| S/N(c) | 33.6 | 32.5 | 21.0
| SN(E/C) | 0.87
|
|
|
|
|
|
|
9080071
| 47
| | Red | Green | Blue
| z | | 19.05
| znorm | | 14.87
| sky | 14.3 | 14.2 | 14.4
| S/N | 13.6 | 20.9 | 21.9
| S/N(c) | 32.7 | 31.7 | 20.3
| SN(E/C) | 0.89
|
|
|
|
|
|
|
9080072
| 47
| | Red | Green | Blue
| z | | 19.03
| znorm | | 14.85
| sky | 14.3 | 14.2 | 14.4
| S/N | 13.5 | 20.6 | 21.8
| S/N(c) | 32.0 | 31.4 | 20.2
| SN(E/C) | 0.88
|
|
|
|
|
|
|
9080073
| 47
| | Red | Green | Blue
| z | | 19.05
| znorm | | 14.87
| sky | 14.3 | 14.3 | 14.3
| S/N | 13.4 | 21.0 | 22.4
| S/N(c) | 32.3 | 31.7 | 20.3
| SN(E/C) | 0.87
|
|
|
|
|
|
|
9080074
| 47
| | Red | Green | Blue
| z | | 19.10
| znorm | | 14.92
| sky | 14.2 | 14.2 | 14.3
| S/N | 14.2 | 21.5 | 23.1
| S/N(c) | 33.1 | 32.3 | 20.8
| SN(E/C) | 0.87
|
|
|
|
|
|
|
9080075
| 47
| | Red | Green | Blue
| z | | 19.10
| znorm | | 14.92
| sky | 14.2 | 14.3 | 14.4
| S/N | 14.1 | 21.1 | 23.0
| S/N(c) | 33.2 | 32.5 | 20.8
| SN(E/C) | 0.85
|
|
|
|
|
|
|
9080076
| 47
| | Red | Green | Blue
| z | | 19.08
| znorm | | 14.90
| sky | 14.2 | 14.2 | 14.4
| S/N | 13.4 | 20.9 | 22.8
| S/N(c) | 32.7 | 32.1 | 20.5
| SN(E/C) | 0.85
|
|
|
|
|
|
|
9080077
| 47
| | Red | Green | Blue
| z | | 19.09
| znorm | | 14.91
| sky | 14.2 | 14.2 | 14.4
| S/N | 13.7 | 21.1 | 23.1
| S/N(c) | 32.8 | 32.2 | 20.7
| SN(E/C) | 0.86
|
|
|
|
|
|
|
9080078
| 47
| | Red | Green | Blue
| z | | 19.07
| znorm | | 14.89
| sky | 14.2 | 14.2 | 14.3
| S/N | 13.4 | 20.8 | 22.9
| S/N(c) | 32.7 | 32.1 | 20.5
| SN(E/C) | 0.89
|
|
|
|
|
|
|
9080079
| 47
| | Red | Green | Blue
| z | | 19.00
| znorm | | 14.82
| sky | 14.1 | 14.2 | 14.3
| S/N | 12.8 | 20.0 | 22.2
| S/N(c) | 31.3 | 31.0 | 19.8
| SN(E/C) | 0.92
|
|
|
|
|
|
|