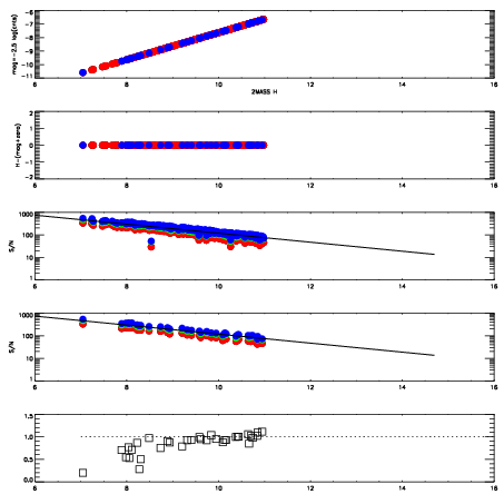
Left plots: red are targets, blue are telluric. Observed mags are calculated from median value of green chip. Zeropoint gives overall throughput: bigger number is more throughput.
First spatial plots: circles are objects, squares are tellurics, crosses are sky fibers. Colors give deviation of observed mag from expected 2MASS mag using the median zeropoint; red is brighter
Second spatial plots: circles are sky fibers. Colors give sky line brightness relative to plate median sky line brightness
FrameNreadsZeropointsMag plots Spatial mag deviation Spatial sky 16325A emission deviations (filled: sky, open: star) Spatial sky continuum emission Spatial sky telluric CO2 absorption deviations (filled: H < 10)
0 0
RedGreenBlue
z17.64
znorm Inf
sky -Inf -Inf -Inf
S/N 27.0 40.9 44.9
S/N(c) 0.0 0.0 0.0
SN(E/C) 0.92

IPAIRNAMESHIFTNEWSHIFTS/N NAMESHIFTNEWSHIFTS/N
0 09010020 0.465153 0.00000 18.6547 09010023 0.00376213 0.461391 18.8503
1 09010021 0.463014 0.00213900 18.8036 09010022 0.00380325 0.461350 18.9157
2 09010024 0.464290 0.000863016 18.6462 09010026 0.00585838 0.459295 18.7747
3 09010025 0.464254 0.000899017 18.6122 09010019 0.00000 0.465153 18.6974