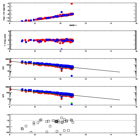
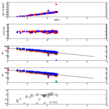
Left plots: red are targets, blue are telluric. Observed mags are calculated from median value of green chip. Zeropoint gives overall throughput: bigger number is more throughput.
First spatial plots: circles are objects, squares are tellurics, crosses are sky fibers. Colors give deviation of observed mag from expected 2MASS mag using the median zeropoint; red is brighter
Second spatial plots: circles are sky fibers. Colors give sky line brightness relative to plate median sky line brightness
FrameNreadsZeropointsMag plots Spatial mag deviation Spatial sky 16325A emission deviations (filled: sky, open: star) Spatial sky continuum emission Spatial sky telluric CO2 absorption deviations (filled: H < 10)
8920010 47
RedGreenBlue
z19.07
znorm14.89
sky 14.3 14.3 14.3
S/N 18.0 26.6 28.1
S/N(c) 22.0 21.3 8.9
SN(E/C) 0.87
8920011 47
RedGreenBlue
z19.07
znorm14.89
sky 14.3 14.4 14.7
S/N 18.0 26.6 28.4
S/N(c) 21.7 21.5 8.9
SN(E/C) 0.90