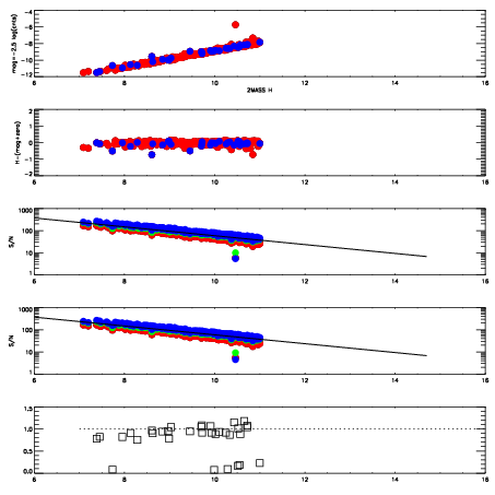
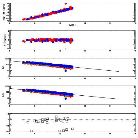
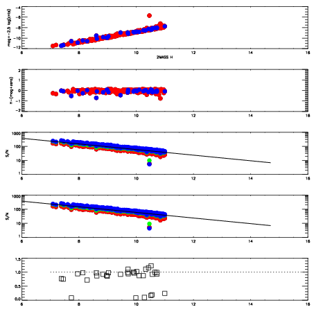
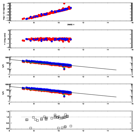
Frame | Nreads | Zeropoints | Mag plots
| Spatial mag deviation
| Spatial sky 16325A emission deviations (filled: sky, open: star)
| Spatial sky continuum emission
| Spatial sky telluric CO2 absorption deviations (filled: H < 10)
|
9020012
| 47
| | Red | Green | Blue
| z | | 18.67
| znorm | | 14.49
| sky | 14.2 | 14.3 | 14.2
| S/N | 15.1 | 21.8 | 23.5
| S/N(c) | 13.4 | 13.3 | 13.9
| SN(E/C) | 0.87
|
|
|
|
|
|
|
9020013
| 47
| | Red | Green | Blue
| z | | 18.72
| znorm | | 14.54
| sky | 14.4 | 14.5 | 14.5
| S/N | 15.4 | 22.0 | 24.1
| S/N(c) | 13.8 | 13.7 | 14.5
| SN(E/C) | 0.88
|
|
|
|
|
|
|
9020014
| 47
| | Red | Green | Blue
| z | | 18.75
| znorm | | 14.57
| sky | 14.5 | 14.4 | 14.7
| S/N | 15.5 | 22.3 | 23.8
| S/N(c) | 14.2 | 13.9 | 14.4
| SN(E/C) | 0.89
|
|
|
|
|
|
|
9020015
| 47
| | Red | Green | Blue
| z | | 18.78
| znorm | | 14.60
| sky | 14.4 | 14.5 | 14.5
| S/N | 15.7 | 22.7 | 24.6
| S/N(c) | 14.2 | 14.0 | 14.7
| SN(E/C) | 0.91
|
|
|
|
|
|
|
9020016
| 47
| | Red | Green | Blue
| z | | 18.78
| znorm | | 14.60
| sky | 14.3 | 14.5 | 14.6
| S/N | 15.8 | 22.6 | 24.7
| S/N(c) | 14.1 | 14.0 | 14.6
| SN(E/C) | 0.89
|
|
|
|
|
|
|
9020017
| 47
| | Red | Green | Blue
| z | | 18.83
| znorm | | 14.65
| sky | 14.5 | 14.6 | 14.6
| S/N | 16.2 | 23.3 | 25.5
| S/N(c) | 14.5 | 14.4 | 15.0
| SN(E/C) | 0.92
|
|
|
|
|
|
|
9020018
| 47
| | Red | Green | Blue
| z | | 18.86
| znorm | | 14.68
| sky | 14.5 | 14.4 | 14.6
| S/N | 16.5 | 23.6 | 25.9
| S/N(c) | 14.8 | 14.6 | 15.2
| SN(E/C) | 0.92
|
|
|
|
|
|
|
9020019
| 47
| | Red | Green | Blue
| z | | 18.94
| znorm | | 14.76
| sky | 14.4 | 14.5 | 14.6
| S/N | 17.3 | 24.8 | 27.4
| S/N(c) | 15.4 | 15.1 | 15.9
| SN(E/C) | 0.92
|
|
|
|
|
|
|
9020020
| 47
| | Red | Green | Blue
| z | | 18.84
| znorm | | 14.66
| sky | 14.2 | 14.3 | 14.4
| S/N | 16.0 | 23.0 | 25.9
| S/N(c) | 14.4 | 14.3 | 15.3
| SN(E/C) | 0.92
|
|
|
|
|
|
|
9020021
| 47
| | Red | Green | Blue
| z | | 18.89
| znorm | | 14.71
| sky | 14.2 | 14.4 | 14.3
| S/N | 16.4 | 24.1 | 26.8
| S/N(c) | 14.9 | 14.8 | 15.6
| SN(E/C) | 0.91
|
|
|
|
|
|
|