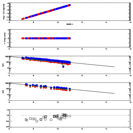
Left plots: red are targets, blue are telluric. Observed mags are calculated from median value of green chip. Zeropoint gives overall throughput: bigger number is more throughput.
First spatial plots: circles are objects, squares are tellurics, crosses are sky fibers. Colors give deviation of observed mag from expected 2MASS mag using the median zeropoint; red is brighter
Second spatial plots: circles are sky fibers. Colors give sky line brightness relative to plate median sky line brightness
FrameNreadsZeropointsMag plots Spatial mag deviation Spatial sky 16325A emission deviations (filled: sky, open: star) Spatial sky continuum emission Spatial sky telluric CO2 absorption deviations (filled: H < 10)
0 0
RedGreenBlue
z17.64
znorm Inf
sky -Inf -Inf -Inf
S/N 33.3 49.3 53.9
S/N(c) 0.0 0.0 0.0
SN(E/C) 0.84

IPAIRNAMESHIFTNEWSHIFTS/N NAMESHIFTNEWSHIFTS/N
0 09020021 0.469061 0.00000 18.8909 09020019 0.00160964 0.467451 18.9404
1 09020018 0.463300 0.00576100 18.8600 09020020 0.00169607 0.467365 18.8340
2 09020017 0.463098 0.00596300 18.8211 09020016 0.00316847 0.465893 18.7741
3 09020014 0.464010 0.00505099 18.7409 09020015 0.00357515 0.465486 18.7739
4 09020013 0.465189 0.00387198 18.7180 09020012 0.00000 0.469061 18.6576