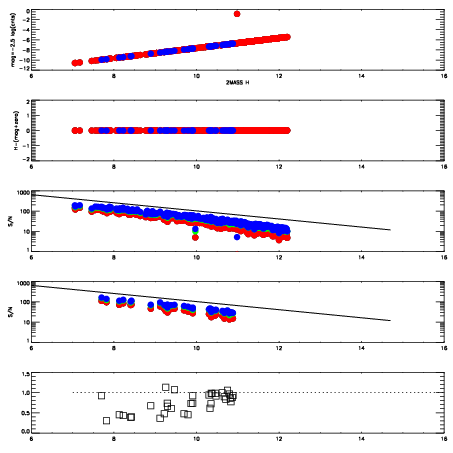
Left plots: red are targets, blue are telluric. Observed mags are calculated from median value of green chip. Zeropoint gives overall throughput: bigger number is more throughput.
First spatial plots: circles are objects, squares are tellurics, crosses are sky fibers. Colors give deviation of observed mag from expected 2MASS mag using the median zeropoint; red is brighter
Second spatial plots: circles are sky fibers. Colors give sky line brightness relative to plate median sky line brightness
FrameNreadsZeropointsMag plots Spatial mag deviation Spatial sky 16325A emission deviations (filled: sky, open: star) Spatial sky continuum emission Spatial sky telluric CO2 absorption deviations (filled: H < 10)
0 0
RedGreenBlue
z17.64
znorm Inf
sky -Inf -Inf -Inf
S/N 6.5 12.7 14.8
S/N(c) 0.0 0.0 0.0
SN(E/C) 0.77

IPAIRNAMESHIFTNEWSHIFTS/N NAMESHIFTNEWSHIFTS/N
0 10550013 0.499691 0.00000 16.8080 10550014 0.00384979 0.495841 17.9662
1 10550017 0.498274 0.00141701 17.4175 10550015 0.00332917 0.496362 18.1315
2 10550016 0.498477 0.00121400 16.1344 10550011 0.00000 0.499691 15.9609