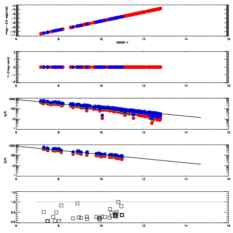
Left plots: red are targets, blue are telluric. Observed mags are calculated from median value of green chip. Zeropoint gives overall throughput: bigger number is more throughput.
First spatial plots: circles are objects, squares are tellurics, crosses are sky fibers. Colors give deviation of observed mag from expected 2MASS mag using the median zeropoint; red is brighter
Second spatial plots: circles are sky fibers. Colors give sky line brightness relative to plate median sky line brightness
FrameNreadsZeropointsMag plots Spatial mag deviation Spatial sky 16325A emission deviations (filled: sky, open: star) Spatial sky continuum emission Spatial sky telluric CO2 absorption deviations (filled: H < 10)
0 0
RedGreenBlue
z17.64
znorm Inf
sky -NaN -NaN -NaN
S/N 22.9 37.6 42.0
S/N(c) 0.0 0.0 0.0
SN(E/C) 0.30

IPAIRNAMESHIFTNEWSHIFTS/N NAMESHIFTNEWSHIFTS/N
0 10840013 0.491757 0.00000 18.8017 10840014 -0.00158651 0.493344 18.8028
1 10840016 0.489695 0.00206199 18.9427 10840015 -0.00107927 0.492836 18.9399
2 10840017 0.489422 0.00233501 18.8957 10840018 -0.00277323 0.494530 18.9277
3 10840012 0.491633 0.000124007 18.6897 10840011 0.00000 0.491757 18.5816