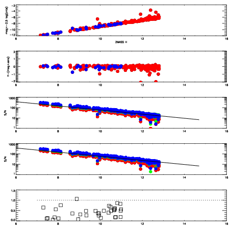
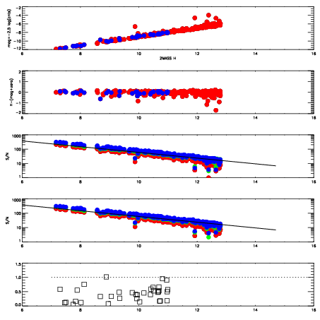
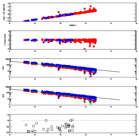
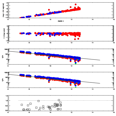
Frame | Nreads | Zeropoints | Mag plots
| Spatial mag deviation
| Spatial sky 16325A emission deviations (filled: sky, open: star)
| Spatial sky continuum emission
| Spatial sky telluric CO2 absorption deviations (filled: H < 10)
|
11040012
| 47
| | Red | Green | Blue
| z | | 19.01
| znorm | | 14.83
| sky | 14.5 | 14.1 | 13.7
| S/N | 14.8 | 22.7 | 23.3
| S/N(c) | 32.7 | 31.3 | 38.7
| SN(E/C) | 0.47
|
|
|
|
|
|
|
11040013
| 47
| | Red | Green | Blue
| z | | 19.02
| znorm | | 14.84
| sky | 14.5 | 14.2 | 13.9
| S/N | 14.5 | 23.2 | 24.1
| S/N(c) | 32.9 | 32.1 | 39.2
| SN(E/C) | 0.45
|
|
|
|
|
|
|
11040014
| 47
| | Red | Green | Blue
| z | | 19.06
| znorm | | 14.88
| sky | 14.5 | 14.3 | 13.9
| S/N | 14.5 | 23.6 | 23.9
| S/N(c) | 32.6 | 31.4 | 39.1
| SN(E/C) | 0.40
|
|
|
|
|
|
|
11040015
| 47
| | Red | Green | Blue
| z | | 19.08
| znorm | | 14.90
| sky | 14.4 | 14.2 | 13.9
| S/N | 14.6 | 22.6 | 24.0
| S/N(c) | 31.9 | 31.2 | 38.6
| SN(E/C) | 0.44
|
|
|
|
|
|
|
11040016
| 47
| | Red | Green | Blue
| z | | 18.91
| znorm | | 14.73
| sky | 14.6 | 14.3 | 14.0
| S/N | 12.9 | 20.7 | 22.1
| S/N(c) | 30.1 | 29.7 | 36.2
| SN(E/C) | 0.45
|
|
|
|
|
|
|
11040017
| 47
| | Red | Green | Blue
| z | | 18.82
| znorm | | 14.64
| sky | 14.3 | 14.2 | 14.0
| S/N | 12.3 | 20.5 | 21.2
| S/N(c) | 28.6 | 28.1 | 34.3
| SN(E/C) | 0.48
|
|
|
|
|
|
|
11040018
| 47
| | Red | Green | Blue
| z | | 19.00
| znorm | | 14.82
| sky | 14.5 | 14.2 | 13.9
| S/N | 13.9 | 22.2 | 23.0
| S/N(c) | 30.5 | 30.0 | 37.7
| SN(E/C) | 0.44
|
|
|
|
|
|
|
11040019
| 47
| | Red | Green | Blue
| z | | 19.11
| znorm | | 14.93
| sky | 14.5 | 14.1 | 13.9
| S/N | 14.9 | 22.9 | 24.7
| S/N(c) | 32.8 | 32.2 | 39.5
| SN(E/C) | 0.42
|
|
|
|
|
|
|