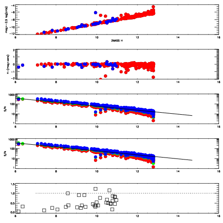
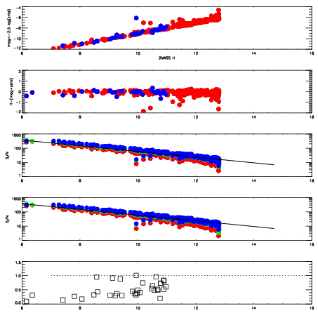
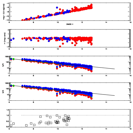
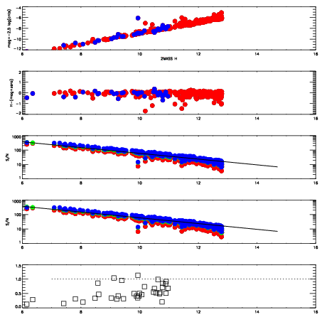
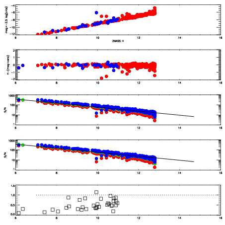
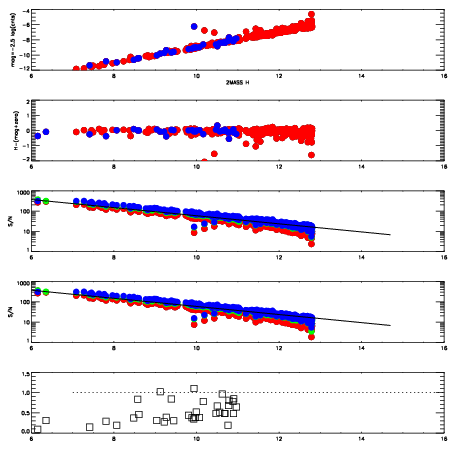
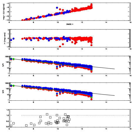
Frame | Nreads | Zeropoints | Mag plots
| Spatial mag deviation
| Spatial sky 16325A emission deviations (filled: sky, open: star)
| Spatial sky continuum emission
| Spatial sky telluric CO2 absorption deviations (filled: H < 10)
|
10790025
| 47
| | Red | Green | Blue
| z | | 18.93
| znorm | | 14.75
| sky | 14.6 | 14.2 | 14.1
| S/N | 13.9 | 21.4 | 24.0
| S/N(c) | 26.6 | 28.9 | 22.3
| SN(E/C) | 0.49
|
|
|
|
|
|
|
10790026
| 47
| | Red | Green | Blue
| z | | 18.97
| znorm | | 14.79
| sky | 14.5 | 14.3 | 14.3
| S/N | 13.8 | 22.7 | 24.1
| S/N(c) | 27.5 | 30.6 | 23.1
| SN(E/C) | 0.51
|
|
|
|
|
|
|
10790027
| 47
| | Red | Green | Blue
| z | | 18.85
| znorm | | 14.67
| sky | 14.6 | 14.3 | 14.4
| S/N | 13.2 | 21.1 | 22.6
| S/N(c) | 25.7 | 28.9 | 21.9
| SN(E/C) | 0.52
|
|
|
|
|
|
|
10790028
| 47
| | Red | Green | Blue
| z | | 19.05
| znorm | | 14.87
| sky | 14.5 | 14.3 | 14.4
| S/N | 14.5 | 23.1 | 25.1
| S/N(c) | 28.7 | 31.5 | 24.9
| SN(E/C) | 0.47
|
|
|
|
|
|
|
10790029
| 47
| | Red | Green | Blue
| z | | 19.05
| znorm | | 14.87
| sky | 14.8 | 14.3 | 14.3
| S/N | 14.9 | 23.3 | 25.3
| S/N(c) | 29.0 | 32.5 | 24.9
| SN(E/C) | 0.49
|
|
|
|
|
|
|
10790030
| 47
| | Red | Green | Blue
| z | | 19.00
| znorm | | 14.82
| sky | 14.6 | 14.4 | 14.4
| S/N | 14.5 | 22.7 | 24.8
| S/N(c) | 28.3 | 32.1 | 24.1
| SN(E/C) | 0.50
|
|
|
|
|
|
|
10790031
| 47
| | Red | Green | Blue
| z | | 19.08
| znorm | | 14.90
| sky | 14.6 | 14.4 | 14.5
| S/N | 15.0 | 23.4 | 25.8
| S/N(c) | 29.5 | 33.7 | 25.2
| SN(E/C) | 0.46
|
|
|
|
|
|
|
10790032
| 47
| | Red | Green | Blue
| z | | 19.01
| znorm | | 14.83
| sky | 14.6 | 14.4 | 14.4
| S/N | 14.3 | 23.2 | 25.1
| S/N(c) | 28.6 | 33.2 | 24.7
| SN(E/C) | 0.48
|
|
|
|
|
|
|