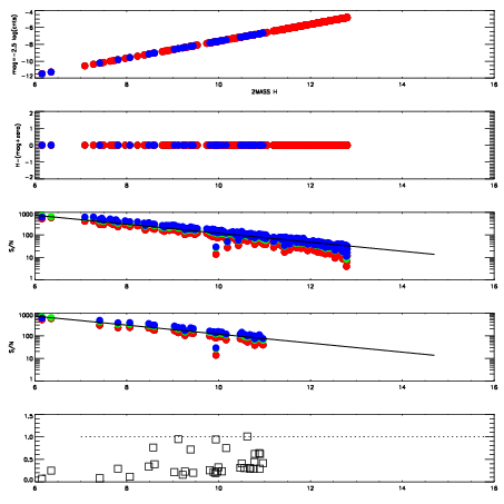
Left plots: red are targets, blue are telluric. Observed mags are calculated from median value of green chip. Zeropoint gives overall throughput: bigger number is more throughput.
First spatial plots: circles are objects, squares are tellurics, crosses are sky fibers. Colors give deviation of observed mag from expected 2MASS mag using the median zeropoint; red is brighter
Second spatial plots: circles are sky fibers. Colors give sky line brightness relative to plate median sky line brightness
FrameNreadsZeropointsMag plots Spatial mag deviation Spatial sky 16325A emission deviations (filled: sky, open: star) Spatial sky continuum emission Spatial sky telluric CO2 absorption deviations (filled: H < 10)
0 0
RedGreenBlue
z17.63
znorm Inf
sky -NaN -NaN -Inf
S/N 25.0 40.6 45.5
S/N(c) 0.0 0.0 0.0
SN(E/C) 0.30

IPAIRNAMESHIFTNEWSHIFTS/N NAMESHIFTNEWSHIFTS/N
0 10790026 0.493061 0.00000 18.9620 10790032 -0.00139019 0.494451 18.9920
1 10790031 0.491767 0.00129402 19.0659 10790029 -0.00258112 0.495642 19.0360
2 10790030 0.491171 0.00189000 18.9826 10790028 -0.00265289 0.495714 19.0273
3 10790027 0.492846 0.000214994 18.8345 10790025 0.00000 0.493061 18.9139