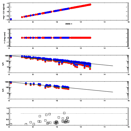
Left plots: red are targets, blue are telluric. Observed mags are calculated from median value of green chip. Zeropoint gives overall throughput: bigger number is more throughput.
First spatial plots: circles are objects, squares are tellurics, crosses are sky fibers. Colors give deviation of observed mag from expected 2MASS mag using the median zeropoint; red is brighter
Second spatial plots: circles are sky fibers. Colors give sky line brightness relative to plate median sky line brightness
FrameNreadsZeropointsMag plots Spatial mag deviation Spatial sky 16325A emission deviations (filled: sky, open: star) Spatial sky continuum emission Spatial sky telluric CO2 absorption deviations (filled: H < 10)
0 0
RedGreenBlue
z17.64
znorm Inf
sky -Inf -Inf -Inf
S/N 28.4 48.2 51.7
S/N(c) 0.0 0.0 0.0
SN(E/C) 0.30

IPAIRNAMESHIFTNEWSHIFTS/N NAMESHIFTNEWSHIFTS/N
0 10840028 0.491750 0.00000 18.9151 10840030 -0.000313237 0.492063 18.9753
1 10840031 0.490161 0.00158900 18.9900 10840033 0.000299759 0.491450 19.0091
2 10840032 0.490207 0.00154302 18.9595 10840034 0.000269060 0.491481 19.0000
3 10840027 0.491672 7.79927e-05 18.8968 10840029 -0.000264872 0.492015 18.9237
4 10840035 0.490585 0.00116500 18.8660 10840026 0.00000 0.491750 18.7947