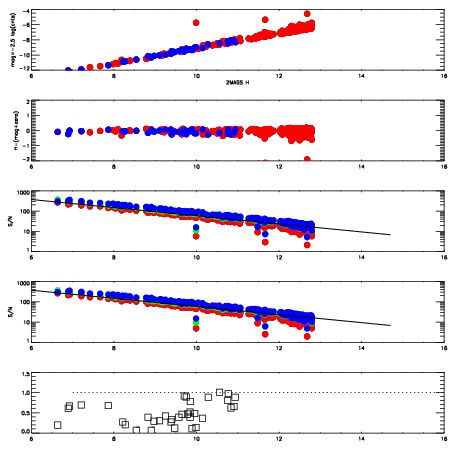
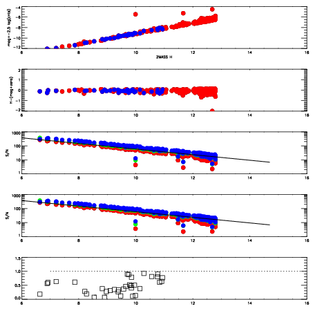
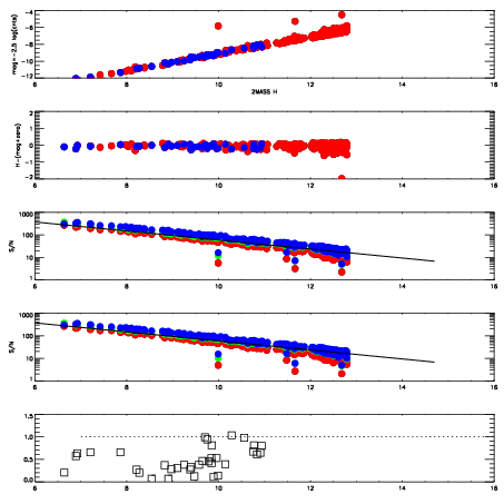
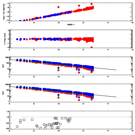
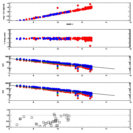
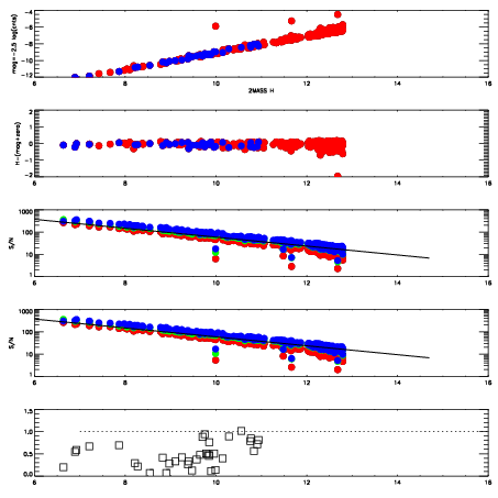
Left plots: red are targets, blue are telluric. Observed mags are calculated from median value of green chip. Zeropoint gives overall throughput: bigger number is more throughput.
First spatial plots: circles are objects, squares are tellurics, crosses are sky fibers. Colors give deviation of observed mag from expected 2MASS mag using the median zeropoint; red is brighter
Second spatial plots: circles are sky fibers. Colors give sky line brightness relative to plate median sky line brightness
FrameNreadsZeropointsMag plots Spatial mag deviation Spatial sky 16325A emission deviations (filled: sky, open: star) Spatial sky continuum emission Spatial sky telluric CO2 absorption deviations (filled: H < 10)
9980076 47
RedGreenBlue
z18.99
znorm14.81
sky 15.1 14.7 15.1
S/N 15.0 25.3 26.8
S/N(c) 25.3 47.0 15.0
SN(E/C) 0.48
9980077 47
RedGreenBlue
z19.13
znorm14.95
sky 15.2 14.7 14.8
S/N 16.5 27.2 29.0
S/N(c) 27.2 50.2 15.9
SN(E/C) 0.48
9980078 47
RedGreenBlue
z19.16
znorm14.98
sky 14.9 14.8 14.9
S/N 16.7 28.0 30.1
S/N(c) 27.5 50.8 16.3
SN(E/C) 0.45
9980079 47
RedGreenBlue
z19.15
znorm14.97
sky 14.8 14.7 14.8
S/N 16.9 27.8 30.0
S/N(c) 27.5 50.9 15.9
SN(E/C) 0.46
9980080 47
RedGreenBlue
z19.09
znorm14.91
sky 15.5 14.8 14.8
S/N 16.1 26.7 28.9
S/N(c) 26.4 48.9 16.0
SN(E/C) 0.46
9980081 47
RedGreenBlue
z19.20
znorm15.02
sky 15.0 14.9 14.8
S/N 17.5 28.3 30.6
S/N(c) 27.7 51.2 16.7
SN(E/C) 0.46