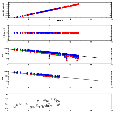
Left plots: red are targets, blue are telluric. Observed mags are calculated from median value of green chip. Zeropoint gives overall throughput: bigger number is more throughput.
First spatial plots: circles are objects, squares are tellurics, crosses are sky fibers. Colors give deviation of observed mag from expected 2MASS mag using the median zeropoint; red is brighter
Second spatial plots: circles are sky fibers. Colors give sky line brightness relative to plate median sky line brightness
FrameNreadsZeropointsMag plots Spatial mag deviation Spatial sky 16325A emission deviations (filled: sky, open: star) Spatial sky continuum emission Spatial sky telluric CO2 absorption deviations (filled: H < 10)
0 0
RedGreenBlue
z17.64
znorm Inf
sky -NaN -Inf -Inf
S/N 25.6 44.0 47.3
S/N(c) 0.0 0.0 0.0
SN(E/C) 0.40

IPAIRNAMESHIFTNEWSHIFTS/N NAMESHIFTNEWSHIFTS/N
0 09980081 0.526408 0.00000 19.1741 09980079 0.00338778 0.523020 19.1320
1 09980078 0.524876 0.00153202 19.1392 09980080 0.00384699 0.522561 19.0706
2 09980077 0.524684 0.00172400 19.1074 09980076 0.00000 0.526408 18.9649