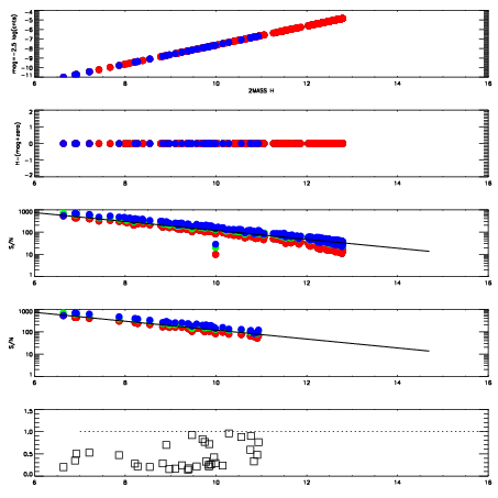
Left plots: red are targets, blue are telluric. Observed mags are calculated from median value of green chip. Zeropoint gives overall throughput: bigger number is more throughput.
First spatial plots: circles are objects, squares are tellurics, crosses are sky fibers. Colors give deviation of observed mag from expected 2MASS mag using the median zeropoint; red is brighter
Second spatial plots: circles are sky fibers. Colors give sky line brightness relative to plate median sky line brightness
FrameNreadsZeropointsMag plots Spatial mag deviation Spatial sky 16325A emission deviations (filled: sky, open: star) Spatial sky continuum emission Spatial sky telluric CO2 absorption deviations (filled: H < 10)
0 0
RedGreenBlue
z17.64
znorm Inf
sky -Inf -Inf -Inf
S/N 29.1 50.2 52.3
S/N(c) 0.0 0.0 0.0
SN(E/C) 0.33

IPAIRNAMESHIFTNEWSHIFTS/N NAMESHIFTNEWSHIFTS/N
0 10260071 0.491089 0.00000 19.1593 10260072 -0.000519718 0.491609 19.1207
1 10260075 0.490692 0.000396997 19.1946 10260073 -7.58618e-05 0.491165 19.1706
2 10260074 0.489934 0.00115499 19.1693 10260076 -0.000736594 0.491826 19.1669
3 10260070 0.490577 0.000511974 19.1282 10260069 0.00000 0.491089 19.0904