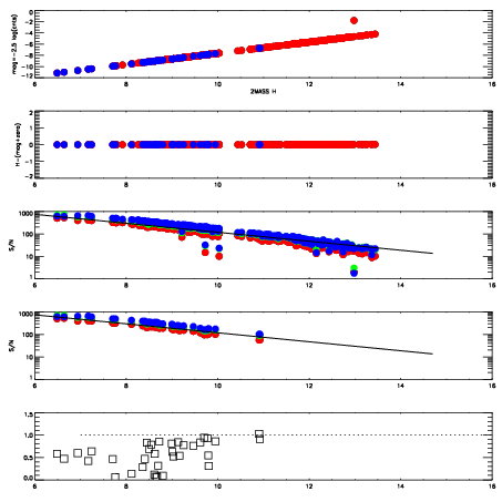
Left plots: red are targets, blue are telluric. Observed mags are calculated from median value of green chip. Zeropoint gives overall throughput: bigger number is more throughput.
First spatial plots: circles are objects, squares are tellurics, crosses are sky fibers. Colors give deviation of observed mag from expected 2MASS mag using the median zeropoint; red is brighter
Second spatial plots: circles are sky fibers. Colors give sky line brightness relative to plate median sky line brightness
FrameNreadsZeropointsMag plots Spatial mag deviation Spatial sky 16325A emission deviations (filled: sky, open: star) Spatial sky continuum emission Spatial sky telluric CO2 absorption deviations (filled: H < 10)
0 0
RedGreenBlue
z17.64
znorm Inf
sky -Inf -Inf -NaN
S/N 31.6 48.6 47.3
S/N(c) 0.0 0.0 0.0
SN(E/C) 0.58

IPAIRNAMESHIFTNEWSHIFTS/N NAMESHIFTNEWSHIFTS/N
0 11070024 0.478431 0.00000 19.2138 11070022 0.00000 0.478431 19.1850
1 11070023 0.477513 0.000918001 19.2151 11070029 6.55989e-05 0.478365 19.2285
2 11070028 0.478154 0.000276983 19.1668 11070026 0.00159280 0.476838 19.1775
3 11070027 0.478049 0.000381976 19.1394 11070025 0.00141063 0.477020 19.1350