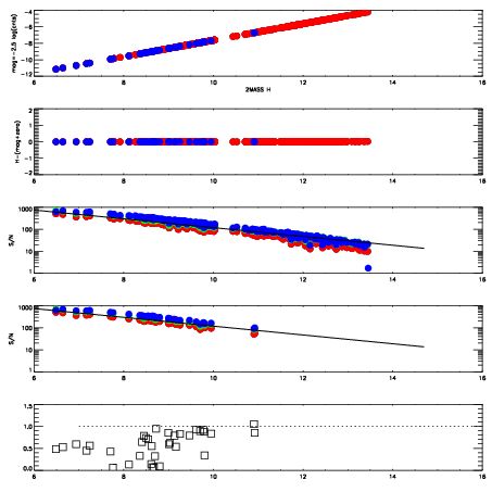
Left plots: red are targets, blue are telluric. Observed mags are calculated from median value of green chip. Zeropoint gives overall throughput: bigger number is more throughput.
First spatial plots: circles are objects, squares are tellurics, crosses are sky fibers. Colors give deviation of observed mag from expected 2MASS mag using the median zeropoint; red is brighter
Second spatial plots: circles are sky fibers. Colors give sky line brightness relative to plate median sky line brightness
FrameNreadsZeropointsMag plots Spatial mag deviation Spatial sky 16325A emission deviations (filled: sky, open: star) Spatial sky continuum emission Spatial sky telluric CO2 absorption deviations (filled: H < 10)
0 0
RedGreenBlue
z17.64
znorm Inf
sky -Inf -Inf -Inf
S/N 29.7 46.5 45.4
S/N(c) 0.0 0.0 0.0
SN(E/C) 0.59

IPAIRNAMESHIFTNEWSHIFTS/N NAMESHIFTNEWSHIFTS/N
0 11390012 0.471341 0.00000 18.9811 11390015 -0.00157122 0.472912 19.0182
1 11390017 0.469885 0.00145602 19.1424 11390014 -0.00223375 0.473575 19.1708
2 11390016 0.469582 0.00175902 19.0955 11390018 0.000639038 0.470702 19.1385
3 11390013 0.471235 0.000106007 19.0438 11390011 0.00000 0.471341 19.0736