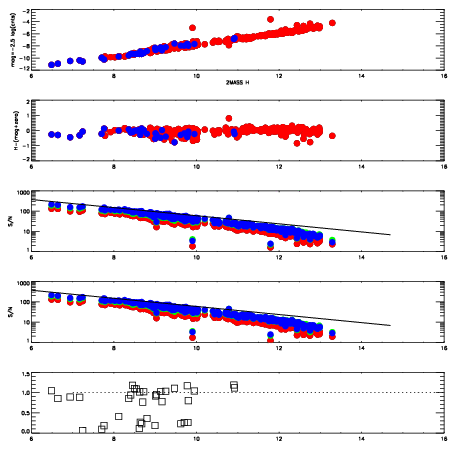
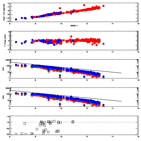
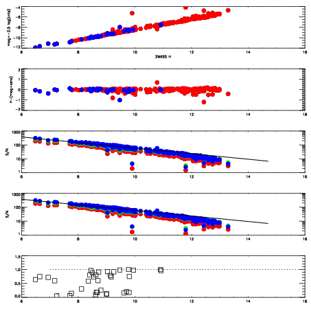
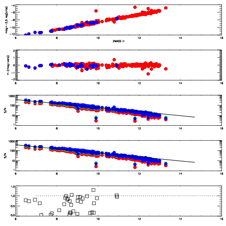
Left plots: red are targets, blue are telluric. Observed mags are calculated from median value of green chip. Zeropoint gives overall throughput: bigger number is more throughput.
First spatial plots: circles are objects, squares are tellurics, crosses are sky fibers. Colors give deviation of observed mag from expected 2MASS mag using the median zeropoint; red is brighter
Second spatial plots: circles are sky fibers. Colors give sky line brightness relative to plate median sky line brightness
FrameNreadsZeropointsMag plots Spatial mag deviation Spatial sky 16325A emission deviations (filled: sky, open: star) Spatial sky continuum emission Spatial sky telluric CO2 absorption deviations (filled: H < 10)
9990075 47
RedGreenBlue
z17.56
znorm13.38
sky 13.9 13.7 13.8
S/N 6.0 9.8 9.2
S/N(c) 7.3 9.9 10.6
SN(E/C) 0.86
9990076 47
RedGreenBlue
z17.51
znorm13.33
sky 13.8 13.8 13.9
S/N 5.7 10.1 9.7
S/N(c) 6.5 9.1 10.2
SN(E/C) 0.86
9990077 47
RedGreenBlue
z17.86
znorm13.68
sky 13.9 13.9 14.0
S/N 7.7 12.6 12.1
S/N(c) 8.1 10.9 12.4
SN(E/C) 0.88
9990078 47
RedGreenBlue
z17.42
znorm13.24
sky 13.7 13.7 13.7
S/N 5.3 9.0 8.7
S/N(c) 5.7 8.5 9.4
SN(E/C) 0.87
9990079 47
RedGreenBlue
z18.63
znorm14.45
sky 14.1 14.0 14.2
S/N 12.3 19.6 19.2
S/N(c) 13.4 17.2 19.4
SN(E/C) 0.73
9990080 47
RedGreenBlue
z18.43
znorm14.25
sky 13.8 13.7 13.7
S/N 10.9 17.1 16.7
S/N(c) 11.9 15.5 17.5
SN(E/C) 0.72