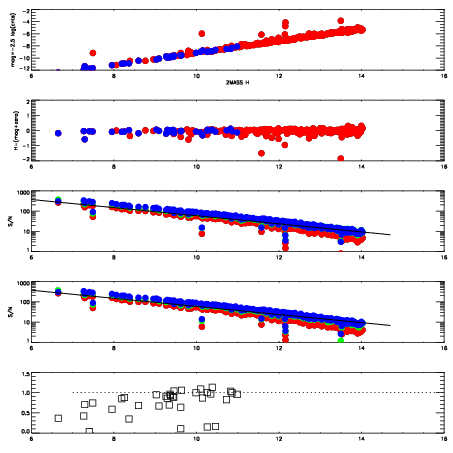
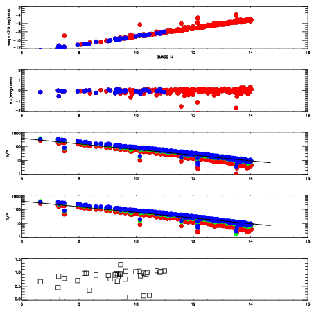
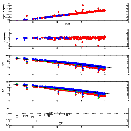
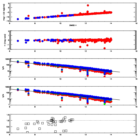
Frame | Nreads | Zeropoints | Mag plots
| Spatial mag deviation
| Spatial sky 16325A emission deviations (filled: sky, open: star)
| Spatial sky continuum emission
| Spatial sky telluric CO2 absorption deviations (filled: H < 10)
|
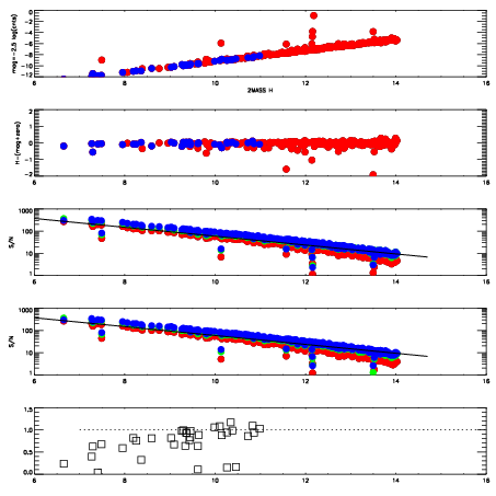
9980022
| 47
| | Red | Green | Blue
| z | | 19.21
| znorm | | 15.03
| sky | 14.5 | 14.4 | 14.2
| S/N | 13.0 | 23.1 | 24.8
| S/N(c) | 30.8 | 5.9 | 9.1
| SN(E/C) | 0.86
|
|
|
|
|
|
|
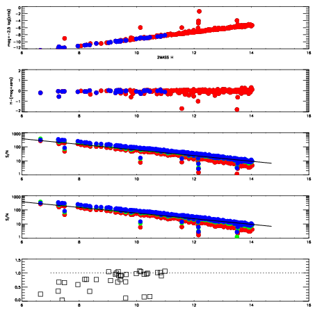
9980023
| 47
| | Red | Green | Blue
| z | | 19.25
| znorm | | 15.07
| sky | 14.7 | 14.6 | 14.6
| S/N | 13.3 | 23.3 | 25.0
| S/N(c) | 31.3 | 6.0 | 9.4
| SN(E/C) | 0.81
|
|
|
|
|
|
|
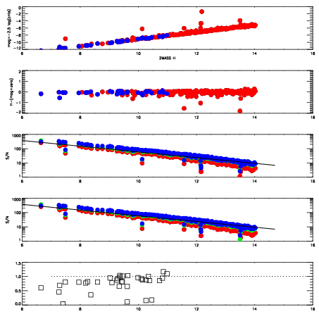
9980024
| 47
| | Red | Green | Blue
| z | | 19.24
| znorm | | 15.06
| sky | 14.6 | 14.6 | 14.6
| S/N | 13.4 | 23.2 | 25.1
| S/N(c) | 31.1 | 6.0 | 9.4
| SN(E/C) | 0.89
|
|
|
|
|
|
|
9980025
| 47
| | Red | Green | Blue
| z | | 19.19
| znorm | | 15.01
| sky | 14.6 | 14.5 | 14.6
| S/N | 13.1 | 22.4 | 24.3
| S/N(c) | 30.1 | 5.9 | 9.3
| SN(E/C) | 0.85
|
|
|
|
|
|
|
9980026
| 47
| | Red | Green | Blue
| z | | 19.20
| znorm | | 15.02
| sky | 14.6 | 14.6 | 14.5
| S/N | 13.0 | 22.8 | 24.4
| S/N(c) | 30.4 | 5.9 | 9.4
| SN(E/C) | 0.90
|
|
|
|
|
|
|
9980027
| 47
| | Red | Green | Blue
| z | | 19.16
| znorm | | 14.98
| sky | 14.7 | 14.7 | 14.5
| S/N | 13.3 | 22.8 | 24.2
| S/N(c) | 29.7 | 5.8 | 9.1
| SN(E/C) | 0.82
|
|
|
|
|
|
|
9980028
| 47
| | Red | Green | Blue
| z | | 19.14
| znorm | | 14.96
| sky | 14.6 | 14.7 | 14.7
| S/N | 12.9 | 22.4 | 24.1
| S/N(c) | 29.3 | 5.7 | 9.1
| SN(E/C) | 0.90
|
|
|
|
|
|
|
9980029
| 47
| | Red | Green | Blue
| z | | 19.14
| znorm | | 14.96
| sky | 14.7 | 14.7 | 14.7
| S/N | 13.1 | 22.6 | 24.3
| S/N(c) | 29.4 | 5.8 | 9.1
| SN(E/C) | 0.89
|
|
|
|
|
|
|