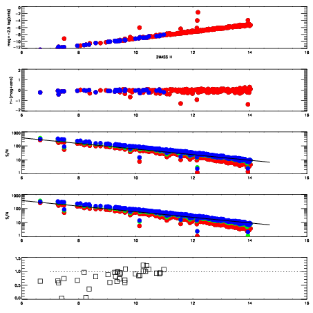
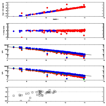
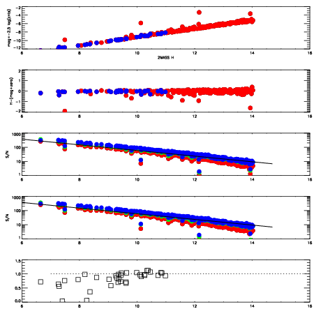
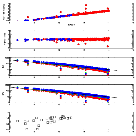
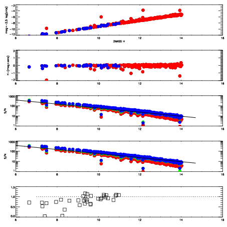
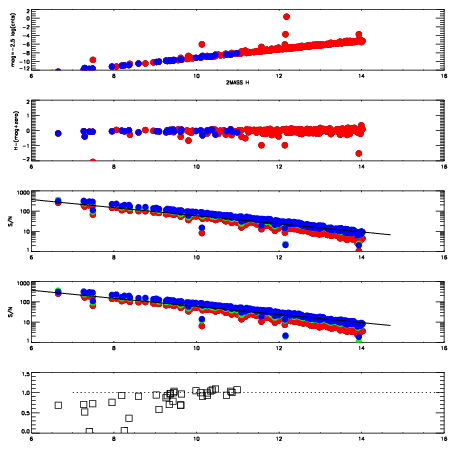
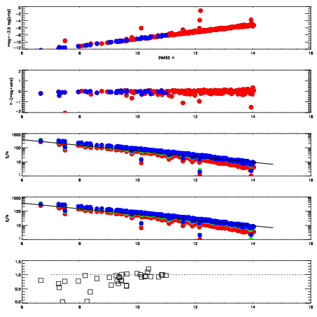
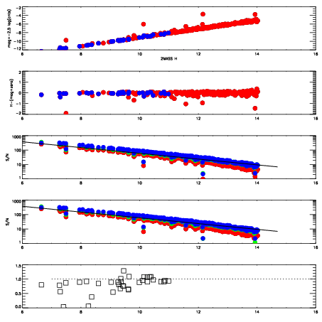
Frame | Nreads | Zeropoints | Mag plots
| Spatial mag deviation
| Spatial sky 16325A emission deviations (filled: sky, open: star)
| Spatial sky continuum emission
| Spatial sky telluric CO2 absorption deviations (filled: H < 10)
|
10230027
| 47
| | Red | Green | Blue
| z | | 19.21
| znorm | | 15.03
| sky | 15.0 | 14.4 | 14.2
| S/N | 16.4 | 25.4 | 27.4
| S/N(c) | 28.7 | 5.4 | 8.3
| SN(E/C) | 0.90
|
|
|
|
|
|
|
10230028
| 47
| | Red | Green | Blue
| z | | 19.18
| znorm | | 15.00
| sky | 14.7 | 14.4 | 14.5
| S/N | 15.9 | 25.1 | 27.6
| S/N(c) | 28.3 | 5.4 | 8.2
| SN(E/C) | 0.85
|
|
|
|
|
|
|
10230029
| 47
| | Red | Green | Blue
| z | | 19.20
| znorm | | 15.01
| sky | 14.6 | 14.5 | 14.5
| S/N | 16.0 | 25.4 | 27.6
| S/N(c) | 28.5 | 5.5 | 8.3
| SN(E/C) | 0.92
|
|
|
|
|
|
|
10230030
| 47
| | Red | Green | Blue
| z | | 19.18
| znorm | | 15.00
| sky | 14.6 | 14.4 | 14.4
| S/N | 16.2 | 24.9 | 27.2
| S/N(c) | 28.3 | 5.4 | 8.2
| SN(E/C) | 0.93
|
|
|
|
|
|
|
10230031
| 47
| | Red | Green | Blue
| z | | 19.16
| znorm | | 14.98
| sky | 14.8 | 14.4 | 14.4
| S/N | 15.6 | 24.6 | 26.5
| S/N(c) | 27.9 | 5.3 | 8.2
| SN(E/C) | 0.89
|
|
|
|
|
|
|
10230032
| 47
| | Red | Green | Blue
| z | | 19.17
| znorm | | 14.99
| sky | 14.8 | 14.4 | 14.3
| S/N | 15.5 | 24.9 | 26.6
| S/N(c) | 27.9 | 5.4 | 8.1
| SN(E/C) | 0.91
|
|
|
|
|
|
|
10230033
| 47
| | Red | Green | Blue
| z | | 19.19
| znorm | | 15.01
| sky | 14.6 | 14.4 | 14.2
| S/N | 15.9 | 25.0 | 26.5
| S/N(c) | 28.0 | 5.4 | 8.2
| SN(E/C) | 0.94
|
|
|
|
|
|
|
10230034
| 47
| | Red | Green | Blue
| z | | 19.21
| znorm | | 15.03
| sky | 14.6 | 14.4 | 14.3
| S/N | 16.0 | 25.1 | 27.1
| S/N(c) | 28.2 | 5.4 | 8.3
| SN(E/C) | 0.88
|
|
|
|
|
|
|