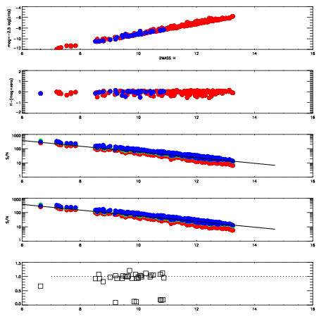
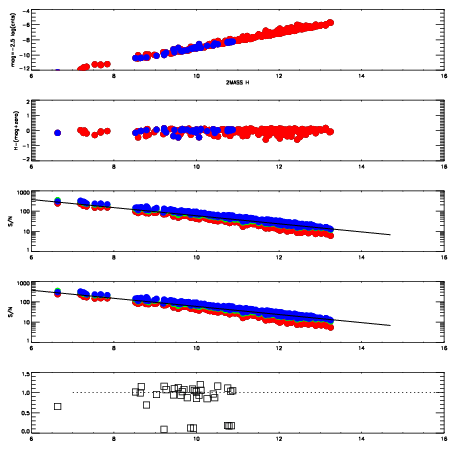
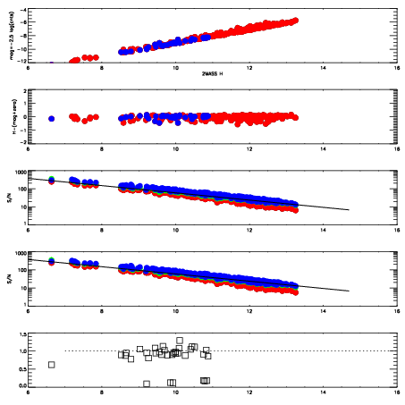
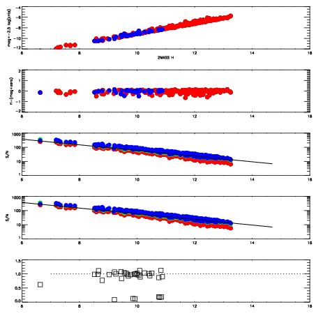
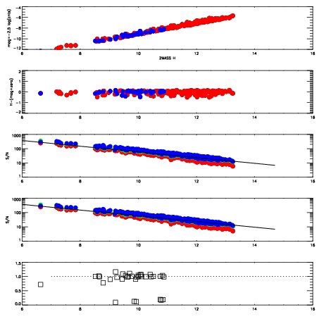
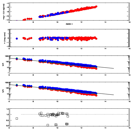
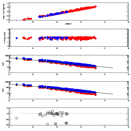
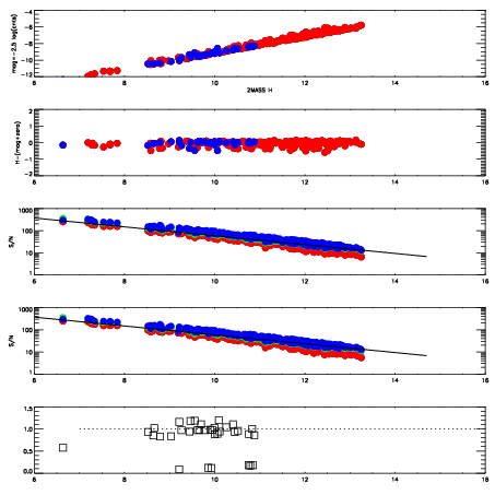
Frame | Nreads | Zeropoints | Mag plots
| Spatial mag deviation
| Spatial sky 16325A emission deviations (filled: sky, open: star)
| Spatial sky continuum emission
| Spatial sky telluric CO2 absorption deviations (filled: H < 10)
|
11040027
| 47
| | Red | Green | Blue
| z | | 19.08
| znorm | | 14.90
| sky | 14.7 | 14.3 | 14.3
| S/N | 14.9 | 23.9 | 24.7
| S/N(c) | 25.2 | 29.5 | 26.5
| SN(E/C) | 0.96
|
|
|
|
|
|
|
11040028
| 47
| | Red | Green | Blue
| z | | 19.07
| znorm | | 14.89
| sky | 14.8 | 14.7 | 14.8
| S/N | 14.6 | 23.7 | 25.8
| S/N(c) | 24.7 | 29.2 | 26.7
| SN(E/C) | 0.96
|
|
|
|
|
|
|
11040029
| 47
| | Red | Green | Blue
| z | | 19.09
| znorm | | 14.90
| sky | 14.8 | 14.6 | 14.7
| S/N | 14.9 | 23.8 | 26.2
| S/N(c) | 24.9 | 29.5 | 26.8
| SN(E/C) | 0.99
|
|
|
|
|
|
|
11040030
| 47
| | Red | Green | Blue
| z | | 19.14
| znorm | | 14.96
| sky | 14.8 | 14.7 | 14.6
| S/N | 14.9 | 24.4 | 27.0
| S/N(c) | 25.4 | 30.0 | 27.4
| SN(E/C) | 0.94
|
|
|
|
|
|
|
11040031
| 47
| | Red | Green | Blue
| z | | 19.15
| znorm | | 14.97
| sky | 14.7 | 14.6 | 14.5
| S/N | 15.2 | 24.8 | 27.2
| S/N(c) | 25.7 | 30.3 | 27.5
| SN(E/C) | 0.98
|
|
|
|
|
|
|
11040032
| 47
| | Red | Green | Blue
| z | | 19.13
| znorm | | 14.95
| sky | 14.6 | 14.5 | 14.5
| S/N | 14.9 | 24.6 | 27.0
| S/N(c) | 25.1 | 30.3 | 27.2
| SN(E/C) | 0.97
|
|
|
|
|
|
|
11040033
| 47
| | Red | Green | Blue
| z | | 19.09
| znorm | | 14.91
| sky | 14.9 | 14.7 | 14.7
| S/N | 14.7 | 24.2 | 26.0
| S/N(c) | 24.7 | 29.6 | 26.7
| SN(E/C) | 0.93
|
|
|
|
|
|
|
11040034
| 47
| | Red | Green | Blue
| z | | 19.07
| znorm | | 14.89
| sky | 14.7 | 14.6 | 14.6
| S/N | 14.2 | 23.7 | 26.1
| S/N(c) | 24.6 | 29.4 | 26.6
| SN(E/C) | 0.99
|
|
|
|
|
|
|