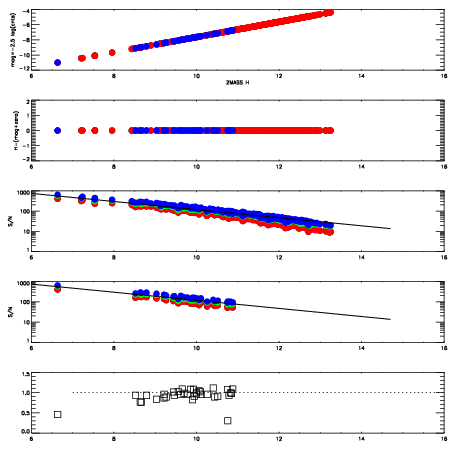
Left plots: red are targets, blue are telluric. Observed mags are calculated from median value of green chip. Zeropoint gives overall throughput: bigger number is more throughput.
First spatial plots: circles are objects, squares are tellurics, crosses are sky fibers. Colors give deviation of observed mag from expected 2MASS mag using the median zeropoint; red is brighter
Second spatial plots: circles are sky fibers. Colors give sky line brightness relative to plate median sky line brightness
FrameNreadsZeropointsMag plots Spatial mag deviation Spatial sky 16325A emission deviations (filled: sky, open: star) Spatial sky continuum emission Spatial sky telluric CO2 absorption deviations (filled: H < 10)
0 0
RedGreenBlue
z17.64
znorm Inf
sky -NaN -Inf -Inf
S/N 22.6 37.6 42.4
S/N(c) 0.0 0.0 0.0
SN(E/C) 0.95

IPAIRNAMESHIFTNEWSHIFTS/N NAMESHIFTNEWSHIFTS/N
0 11350012 0.482902 0.00000 18.9279 11350013 0.000247437 0.482655 18.9388
1 11350015 0.480624 0.00227800 18.9687 11350017 0.00193367 0.480968 19.0191
2 11350016 0.481382 0.00151998 18.9678 11350014 -4.46779e-05 0.482947 18.9907
3 11350011 0.482087 0.000815004 18.9190 11350010 0.00000 0.482902 18.7908