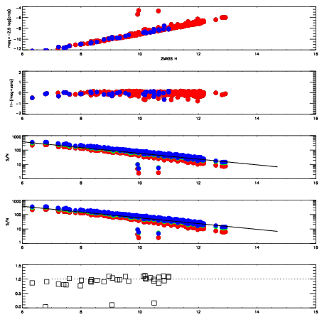
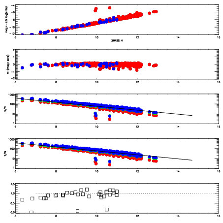
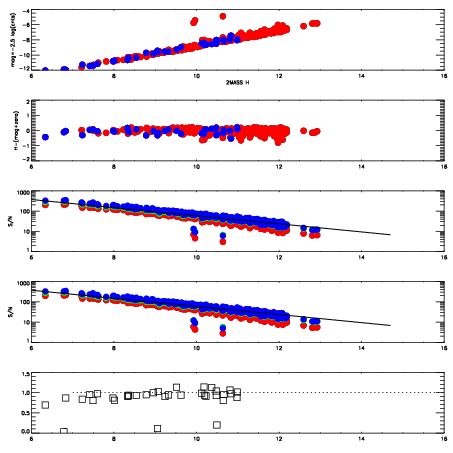
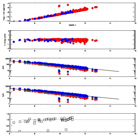
Frame | Nreads | Zeropoints | Mag plots
| Spatial mag deviation
| Spatial sky 16325A emission deviations (filled: sky, open: star)
| Spatial sky continuum emission
| Spatial sky telluric CO2 absorption deviations (filled: H < 10)
|
10800059
| 47
| | Red | Green | Blue
| z | | 18.78
| znorm | | 14.60
| sky | 14.8 | 14.3 | 14.5
| S/N | 12.1 | 20.0 | 21.5
| S/N(c) | 19.3 | 19.6 | 5.5
| SN(E/C) | 0.95
|
|
|
|
|
|
|
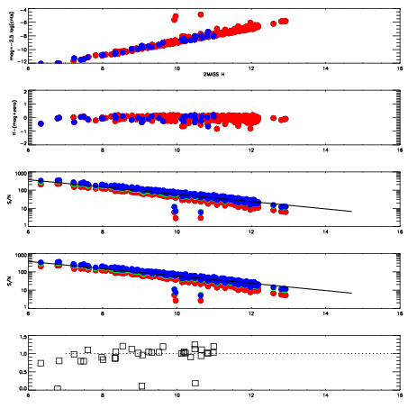
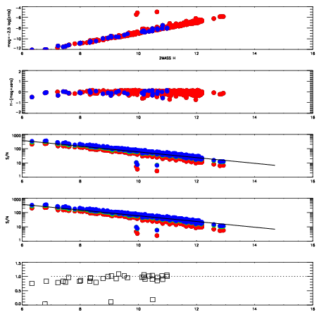
10800060
| 47
| | Red | Green | Blue
| z | | 18.81
| znorm | | 14.63
| sky | 14.9 | 14.4 | 14.5
| S/N | 12.2 | 20.3 | 21.9
| S/N(c) | 19.7 | 20.3 | 5.7
| SN(E/C) | 0.93
|
|
|
|
|
|
|
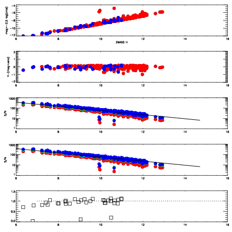
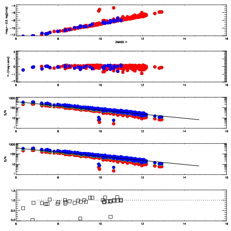
10800061
| 47
| | Red | Green | Blue
| z | | 18.91
| znorm | | 14.73
| sky | 14.6 | 14.3 | 14.4
| S/N | 13.1 | 22.0 | 22.9
| S/N(c) | 20.7 | 21.3 | 5.9
| SN(E/C) | 0.98
|
|
|
|
|
|
|
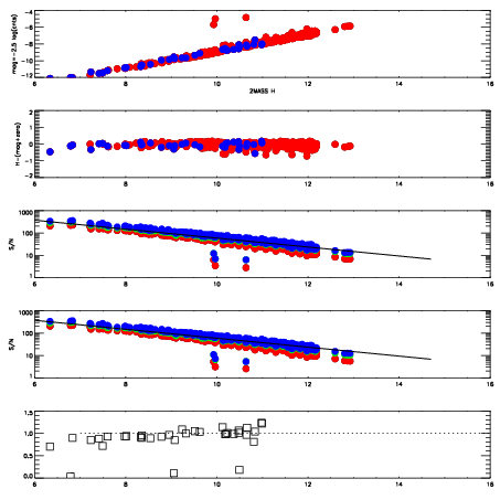
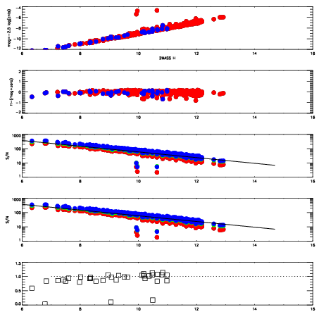
10800062
| 47
| | Red | Green | Blue
| z | | 18.88
| znorm | | 14.70
| sky | 14.7 | 14.4 | 14.3
| S/N | 12.9 | 21.6 | 22.5
| S/N(c) | 20.2 | 20.7 | 5.8
| SN(E/C) | 0.94
|
|
|
|
|
|
|
10800063
| 47
| | Red | Green | Blue
| z | | 18.86
| znorm | | 14.68
| sky | 14.5 | 14.4 | 14.4
| S/N | 12.7 | 21.4 | 22.2
| S/N(c) | 20.1 | 20.4 | 5.8
| SN(E/C) | 1.01
|
|
|
|
|
|
|
10800064
| 47
| | Red | Green | Blue
| z | | 18.90
| znorm | | 14.72
| sky | 14.5 | 14.3 | 14.4
| S/N | 12.8 | 22.0 | 22.6
| S/N(c) | 20.2 | 20.9 | 5.9
| SN(E/C) | 0.93
|
|
|
|
|
|
|
10800065
| 47
| | Red | Green | Blue
| z | | 18.92
| znorm | | 14.74
| sky | 14.5 | 14.4 | 14.3
| S/N | 13.1 | 22.1 | 22.9
| S/N(c) | 20.5 | 21.1 | 5.9
| SN(E/C) | 0.92
|
|
|
|
|
|
|
10800066
| 47
| | Red | Green | Blue
| z | | 18.91
| znorm | | 14.73
| sky | 14.4 | 14.3 | 14.3
| S/N | 13.0 | 21.8 | 22.9
| S/N(c) | 20.4 | 20.9 | 5.9
| SN(E/C) | 0.95
|
|
|
|
|
|
|
10800067
| 47
| | Red | Green | Blue
| z | | 19.01
| znorm | | 14.83
| sky | 14.5 | 14.5 | 14.2
| S/N | 14.0 | 23.1 | 23.9
| S/N(c) | 21.6 | 21.9 | 6.3
| SN(E/C) | 0.94
|
|
|
|
|
|
|
10800068
| 47
| | Red | Green | Blue
| z | | 19.01
| znorm | | 14.83
| sky | 14.5 | 14.3 | 14.3
| S/N | 13.9 | 23.2 | 24.2
| S/N(c) | 21.5 | 22.0 | 6.3
| SN(E/C) | 0.96
|
|
|
|
|
|
|