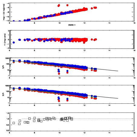
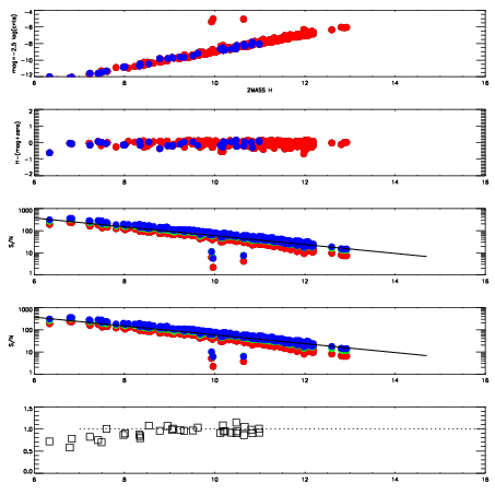
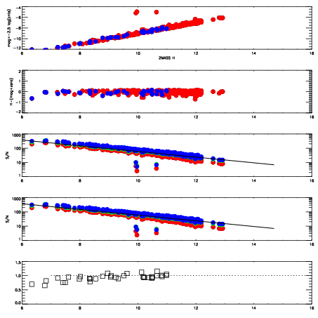
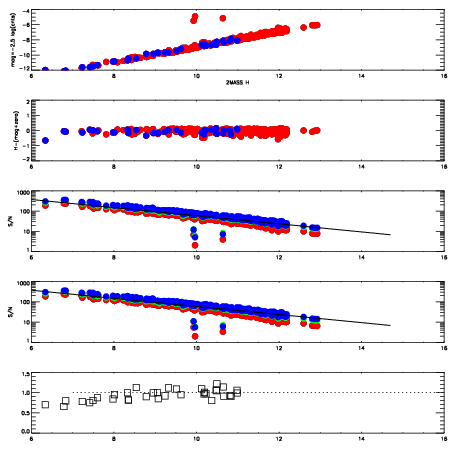
Frame | Nreads | Zeropoints | Mag plots
| Spatial mag deviation
| Spatial sky 16325A emission deviations (filled: sky, open: star)
| Spatial sky continuum emission
| Spatial sky telluric CO2 absorption deviations (filled: H < 10)
|
11040049
| 47
| | Red | Green | Blue
| z | | 19.05
| znorm | | 14.87
| sky | 14.9 | 14.6 | 14.4
| S/N | 14.0 | 23.4 | 24.9
| S/N(c) | 26.7 | 33.6 | 24.2
| SN(E/C) | 0.94
|
|
|
|
|
|
|
11040050
| 47
| | Red | Green | Blue
| z | | 19.02
| znorm | | 14.84
| sky | 14.9 | 14.6 | 14.6
| S/N | 13.9 | 22.9 | 24.5
| S/N(c) | 26.4 | 34.4 | 24.3
| SN(E/C) | 0.94
|
|
|
|
|
|
|
11040051
| 47
| | Red | Green | Blue
| z | | 19.06
| znorm | | 14.88
| sky | 14.8 | 14.7 | 14.7
| S/N | 14.0 | 23.4 | 25.6
| S/N(c) | 27.0 | 34.9 | 25.1
| SN(E/C) | 0.93
|
|
|
|
|
|
|
11040052
| 47
| | Red | Green | Blue
| z | | 19.03
| znorm | | 14.85
| sky | 14.7 | 14.6 | 14.6
| S/N | 14.0 | 23.2 | 25.2
| S/N(c) | 26.7 | 34.6 | 24.8
| SN(E/C) | 0.94
|
|
|
|
|
|
|
11040053
| 47
| | Red | Green | Blue
| z | | 18.99
| znorm | | 14.81
| sky | 14.8 | 14.6 | 14.7
| S/N | 14.0 | 22.8 | 25.0
| S/N(c) | 26.5 | 34.0 | 24.6
| SN(E/C) | 0.95
|
|
|
|
|
|
|
11040054
| 47
| | Red | Green | Blue
| z | | 18.95
| znorm | | 14.77
| sky | 14.8 | 14.7 | 14.7
| S/N | 13.4 | 21.9 | 24.2
| S/N(c) | 25.4 | 33.2 | 23.7
| SN(E/C) | 0.92
|
|
|
|
|
|
|
11040055
| 47
| | Red | Green | Blue
| z | | 18.96
| znorm | | 14.78
| sky | 15.0 | 14.8 | 14.6
| S/N | 13.7 | 22.1 | 24.4
| S/N(c) | 25.7 | 33.5 | 24.1
| SN(E/C) | 0.94
|
|
|
|
|
|
|
11040056
| 47
| | Red | Green | Blue
| z | | 18.97
| znorm | | 14.79
| sky | 14.9 | 14.7 | 14.7
| S/N | 13.7 | 22.5 | 24.7
| S/N(c) | 25.7 | 33.7 | 24.0
| SN(E/C) | 0.95
|
|
|
|
|
|
|