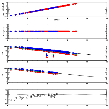
Left plots: red are targets, blue are telluric. Observed mags are calculated from median value of green chip. Zeropoint gives overall throughput: bigger number is more throughput.
First spatial plots: circles are objects, squares are tellurics, crosses are sky fibers. Colors give deviation of observed mag from expected 2MASS mag using the median zeropoint; red is brighter
Second spatial plots: circles are sky fibers. Colors give sky line brightness relative to plate median sky line brightness
FrameNreadsZeropointsMag plots Spatial mag deviation Spatial sky 16325A emission deviations (filled: sky, open: star) Spatial sky continuum emission Spatial sky telluric CO2 absorption deviations (filled: H < 10)
0 0
RedGreenBlue
z17.64
znorm Inf
sky -Inf -Inf -Inf
S/N 24.9 42.9 47.2
S/N(c) 0.0 0.0 0.0
SN(E/C) 0.88

IPAIRNAMESHIFTNEWSHIFTS/N NAMESHIFTNEWSHIFTS/N
0 11040050 0.476744 0.00000 19.0003 11040052 -0.00296204 0.479706 19.0090
1 11040051 0.476226 0.000517994 19.0339 11040049 0.00000 0.476744 19.0245
2 11040055 0.474480 0.00226399 18.9359 11040053 -0.00334052 0.480085 18.9733
3 11040054 0.474431 0.00231299 18.9185 11040056 -0.00323263 0.479977 18.9512