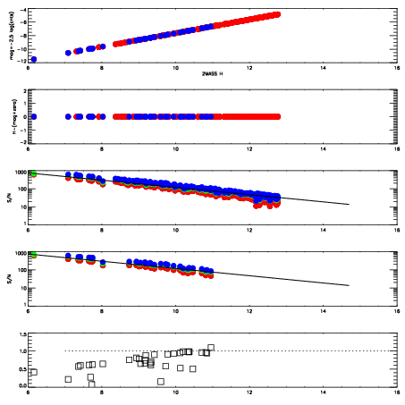
Left plots: red are targets, blue are telluric. Observed mags are calculated from median value of green chip. Zeropoint gives overall throughput: bigger number is more throughput.
First spatial plots: circles are objects, squares are tellurics, crosses are sky fibers. Colors give deviation of observed mag from expected 2MASS mag using the median zeropoint; red is brighter
Second spatial plots: circles are sky fibers. Colors give sky line brightness relative to plate median sky line brightness
FrameNreadsZeropointsMag plots Spatial mag deviation Spatial sky 16325A emission deviations (filled: sky, open: star) Spatial sky continuum emission Spatial sky telluric CO2 absorption deviations (filled: H < 10)
0 0
RedGreenBlue
z17.64
znorm Inf
sky -Inf -NaN -Inf
S/N 29.0 49.2 51.0
S/N(c) 0.0 0.0 0.0
SN(E/C) 0.70

IPAIRNAMESHIFTNEWSHIFTS/N NAMESHIFTNEWSHIFTS/N
0 11070017 0.483012 0.00000 19.0766 11070018 0.000888197 0.482124 19.0456
1 11070013 0.482354 0.000658005 19.1307 11070015 -0.00119016 0.484202 19.1250
2 11070012 0.481713 0.00129899 19.1110 11070014 -0.00174669 0.484759 19.1142
3 11070016 0.481149 0.00186300 19.0537 11070011 0.00000 0.483012 19.0333