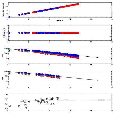
Left plots: red are targets, blue are telluric. Observed mags are calculated from median value of green chip. Zeropoint gives overall throughput: bigger number is more throughput.
First spatial plots: circles are objects, squares are tellurics, crosses are sky fibers. Colors give deviation of observed mag from expected 2MASS mag using the median zeropoint; red is brighter
Second spatial plots: circles are sky fibers. Colors give sky line brightness relative to plate median sky line brightness
FrameNreadsZeropointsMag plots Spatial mag deviation Spatial sky 16325A emission deviations (filled: sky, open: star) Spatial sky continuum emission Spatial sky telluric CO2 absorption deviations (filled: H < 10)
0 0
RedGreenBlue
z17.64
znorm Inf
sky -Inf -Inf -Inf
S/N 24.7 42.9 45.0
S/N(c) 0.0 0.0 0.0
SN(E/C) 0.80

IPAIRNAMESHIFTNEWSHIFTS/N NAMESHIFTNEWSHIFTS/N
0 11110024 0.481418 0.00000 18.7458 11110026 -0.00349233 0.484910 18.8622
1 11110028 0.475943 0.00547501 18.9232 11110029 -0.00422127 0.485639 19.0210
2 11110027 0.476783 0.00463501 18.8923 11110025 -0.00346207 0.484880 18.8989
3 11110023 0.480920 0.000498027 18.7925 11110022 0.00000 0.481418 18.8855