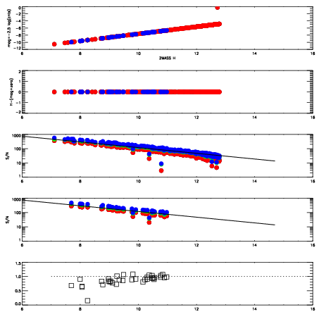
Left plots: red are targets, blue are telluric. Observed mags are calculated from median value of green chip. Zeropoint gives overall throughput: bigger number is more throughput.
First spatial plots: circles are objects, squares are tellurics, crosses are sky fibers. Colors give deviation of observed mag from expected 2MASS mag using the median zeropoint; red is brighter
Second spatial plots: circles are sky fibers. Colors give sky line brightness relative to plate median sky line brightness
FrameNreadsZeropointsMag plots Spatial mag deviation Spatial sky 16325A emission deviations (filled: sky, open: star) Spatial sky continuum emission Spatial sky telluric CO2 absorption deviations (filled: H < 10)
0 0
RedGreenBlue
z17.64
znorm Inf
sky -NaN -Inf -Inf
S/N 26.4 44.9 47.4
S/N(c) 0.0 0.0 0.0
SN(E/C) 0.90

IPAIRNAMESHIFTNEWSHIFTS/N NAMESHIFTNEWSHIFTS/N
0 10530040 0.495605 0.00000 19.0348 10530034 0.00000 0.495605 19.0061
1 10530036 0.493648 0.00195700 19.1321 10530041 -0.00808162 0.503687 19.1202
2 10530035 0.493652 0.00195301 19.0837 10530038 -0.00645383 0.502059 19.0683
3 10530039 0.494868 0.000736982 19.0098 10530037 -0.00671104 0.502316 19.0011