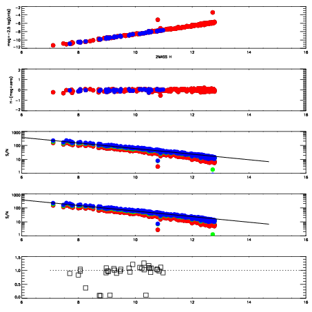
Frame | Nreads | Zeropoints | Mag plots
| Spatial mag deviation
| Spatial sky 16325A emission deviations (filled: sky, open: star)
| Spatial sky continuum emission
| Spatial sky telluric CO2 absorption deviations (filled: H < 10)
|
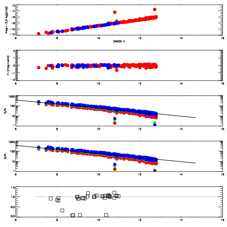
10800048
| 47
| | Red | Green | Blue
| z | | 18.86
| znorm | | 14.68
| sky | 14.9 | 14.4 | 14.6
| S/N | 13.6 | 22.4 | 23.9
| S/N(c) | 10.7 | 33.7 | 22.5
| SN(E/C) | 0.97
|
|
|
|
|
|
|
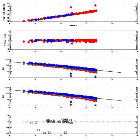
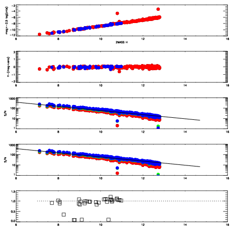
10800049
| 47
| | Red | Green | Blue
| z | | 18.62
| znorm | | 14.44
| sky | 14.7 | 14.7 | 14.8
| S/N | 11.4 | 19.9 | 20.9
| S/N(c) | 9.2 | 29.8 | 19.9
| SN(E/C) | 1.00
|
|
|
|
|
|
|
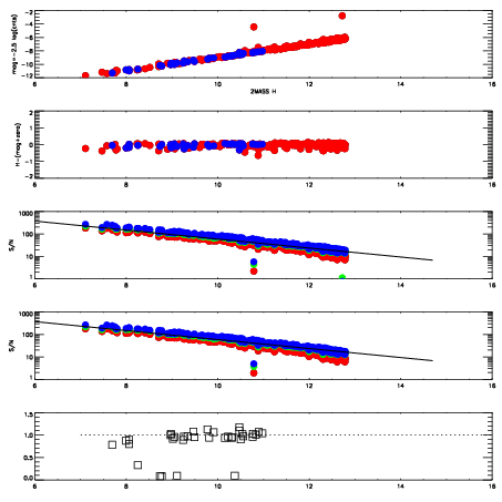
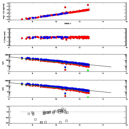
10800050
| 47
| | Red | Green | Blue
| z | | 18.93
| znorm | | 14.75
| sky | 14.7 | 14.5 | 14.7
| S/N | 14.4 | 23.4 | 25.0
| S/N(c) | 11.1 | 34.9 | 23.8
| SN(E/C) | 0.99
|
|
|
|
|
|
|
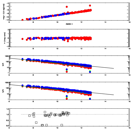
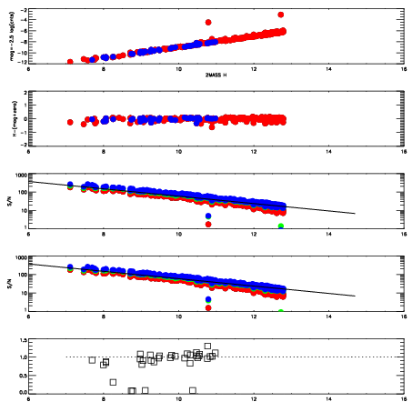
10800051
| 47
| | Red | Green | Blue
| z | | 19.04
| znorm | | 14.86
| sky | 14.7 | 14.5 | 14.6
| S/N | 15.4 | 24.8 | 27.0
| S/N(c) | 11.7 | 36.8 | 25.0
| SN(E/C) | 0.97
|
|
|
|
|
|
|
10800052
| 47
| | Red | Green | Blue
| z | | 19.00
| znorm | | 14.82
| sky | 14.7 | 14.7 | 14.8
| S/N | 15.3 | 24.6 | 26.8
| S/N(c) | 11.4 | 36.1 | 24.1
| SN(E/C) | 0.97
|
|
|
|
|
|
|
10800053
| 47
| | Red | Green | Blue
| z | | 18.94
| znorm | | 14.76
| sky | 14.7 | 14.8 | 14.9
| S/N | 14.4 | 23.7 | 26.0
| S/N(c) | 11.0 | 34.6 | 23.4
| SN(E/C) | 0.94
|
|
|
|
|
|
|
10800054
| 47
| | Red | Green | Blue
| z | | 19.01
| znorm | | 14.83
| sky | 15.0 | 14.9 | 15.0
| S/N | 15.5 | 24.6 | 27.2
| S/N(c) | 11.4 | 36.0 | 24.3
| SN(E/C) | 0.95
|
|
|
|
|
|
|
10800055
| 47
| | Red | Green | Blue
| z | | 19.05
| znorm | | 14.87
| sky | 15.2 | 14.8 | 14.9
| S/N | 15.6 | 25.2 | 27.5
| S/N(c) | 11.8 | 36.9 | 25.0
| SN(E/C) | 0.96
|
|
|
|
|
|
|