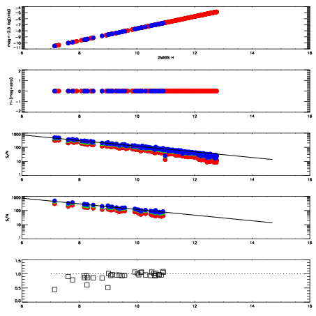
Left plots: red are targets, blue are telluric. Observed mags are calculated from median value of green chip. Zeropoint gives overall throughput: bigger number is more throughput.
First spatial plots: circles are objects, squares are tellurics, crosses are sky fibers. Colors give deviation of observed mag from expected 2MASS mag using the median zeropoint; red is brighter
Second spatial plots: circles are sky fibers. Colors give sky line brightness relative to plate median sky line brightness
FrameNreadsZeropointsMag plots Spatial mag deviation Spatial sky 16325A emission deviations (filled: sky, open: star) Spatial sky continuum emission Spatial sky telluric CO2 absorption deviations (filled: H < 10)
0 0
RedGreenBlue
z17.64
znorm Inf
sky -Inf -NaN -Inf
S/N 18.8 35.5 36.5
S/N(c) 0.0 0.0 0.0
SN(E/C) 0.96

IPAIRNAMESHIFTNEWSHIFTS/N NAMESHIFTNEWSHIFTS/N
0 10610029 0.506043 0.00000 18.4138 10610031 0.00123784 0.504805 18.4890
1 10610034 0.505951 9.20296e-05 18.6224 10610032 0.00162041 0.504423 18.5910
2 10610033 0.504947 0.00109601 18.4967 10610035 0.00334318 0.502700 18.5257
3 10610030 0.505677 0.000366032 18.3031 10610028 0.00000 0.506043 18.2775