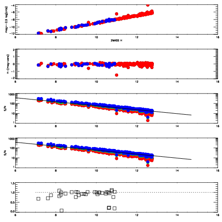
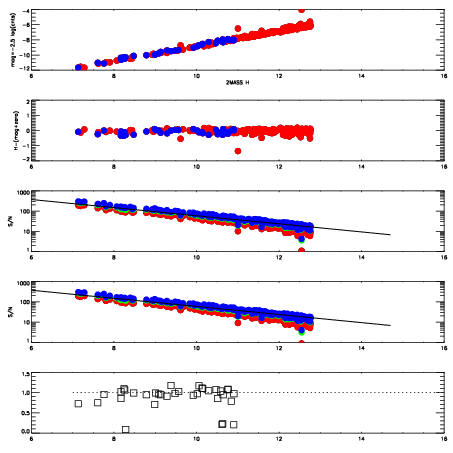
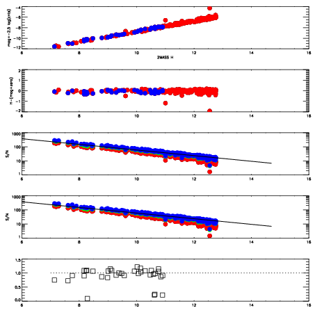
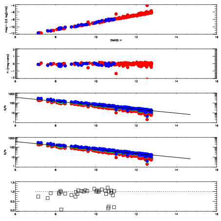
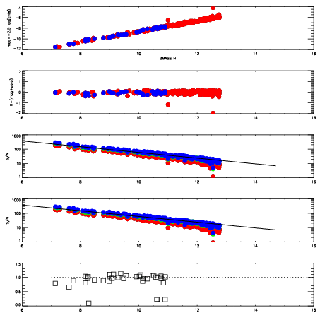
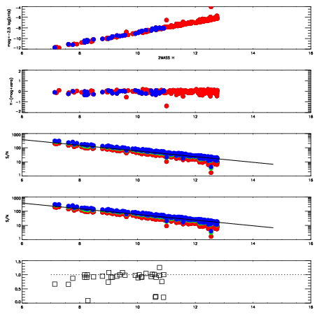
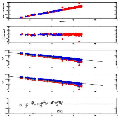
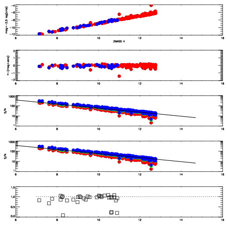
Frame | Nreads | Zeropoints | Mag plots
| Spatial mag deviation
| Spatial sky 16325A emission deviations (filled: sky, open: star)
| Spatial sky continuum emission
| Spatial sky telluric CO2 absorption deviations (filled: H < 10)
|
10790047
| 47
| | Red | Green | Blue
| z | | 18.69
| znorm | | 14.51
| sky | 14.8 | 14.6 | 14.4
| S/N | 12.1 | 21.1 | 22.6
| S/N(c) | 16.3 | 25.4 | 39.0
| SN(E/C) | 0.96
|
|
|
|
|
|
|
10790048
| 47
| | Red | Green | Blue
| z | | 18.74
| znorm | | 14.55
| sky | 15.0 | 14.8 | 14.8
| S/N | 12.5 | 22.2 | 23.4
| S/N(c) | 16.5 | 25.6 | 40.7
| SN(E/C) | 0.99
|
|
|
|
|
|
|
10790049
| 47
| | Red | Green | Blue
| z | | 18.77
| znorm | | 14.59
| sky | 15.2 | 14.8 | 14.7
| S/N | 13.1 | 22.5 | 23.9
| S/N(c) | 16.8 | 25.2 | 41.4
| SN(E/C) | 0.98
|
|
|
|
|
|
|
10790050
| 47
| | Red | Green | Blue
| z | | 18.87
| znorm | | 14.69
| sky | 15.1 | 14.9 | 14.8
| S/N | 14.2 | 24.1 | 25.4
| S/N(c) | 18.2 | 27.2 | 43.8
| SN(E/C) | 0.97
|
|
|
|
|
|
|
10790051
| 47
| | Red | Green | Blue
| z | | 18.93
| znorm | | 14.75
| sky | 15.2 | 14.8 | 14.8
| S/N | 14.7 | 24.8 | 26.4
| S/N(c) | 18.5 | 27.6 | 45.0
| SN(E/C) | 0.92
|
|
|
|
|
|
|
10790052
| 47
| | Red | Green | Blue
| z | | 18.88
| znorm | | 14.70
| sky | 14.9 | 14.7 | 14.8
| S/N | 14.0 | 24.2 | 25.6
| S/N(c) | 17.9 | 26.7 | 44.2
| SN(E/C) | 0.97
|
|
|
|
|
|
|
10790053
| 47
| | Red | Green | Blue
| z | | 18.93
| znorm | | 14.75
| sky | 15.2 | 14.7 | 14.7
| S/N | 14.5 | 24.8 | 26.2
| S/N(c) | 18.3 | 27.7 | 44.5
| SN(E/C) | 0.97
|
|
|
|
|
|
|
10790054
| 47
| | Red | Green | Blue
| z | | 18.97
| znorm | | 14.79
| sky | 15.1 | 14.7 | 14.7
| S/N | 15.1 | 25.3 | 26.3
| S/N(c) | 18.8 | 28.3 | 45.8
| SN(E/C) | 0.94
|
|
|
|
|
|
|