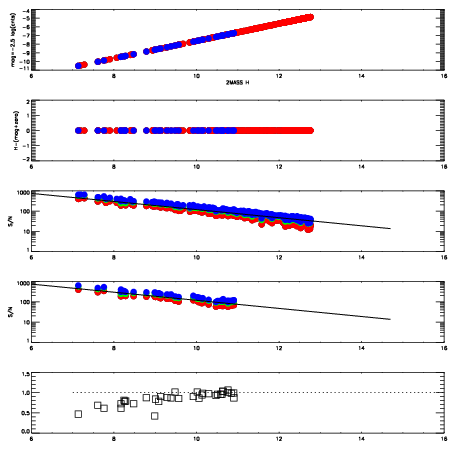
Left plots: red are targets, blue are telluric. Observed mags are calculated from median value of green chip. Zeropoint gives overall throughput: bigger number is more throughput.
First spatial plots: circles are objects, squares are tellurics, crosses are sky fibers. Colors give deviation of observed mag from expected 2MASS mag using the median zeropoint; red is brighter
Second spatial plots: circles are sky fibers. Colors give sky line brightness relative to plate median sky line brightness
FrameNreadsZeropointsMag plots Spatial mag deviation Spatial sky 16325A emission deviations (filled: sky, open: star) Spatial sky continuum emission Spatial sky telluric CO2 absorption deviations (filled: H < 10)
0 0
RedGreenBlue
z17.64
znorm Inf
sky -Inf -NaN -Inf
S/N 30.0 49.7 52.0
S/N(c) 0.0 0.0 0.0
SN(E/C) 0.88

IPAIRNAMESHIFTNEWSHIFTS/N NAMESHIFTNEWSHIFTS/N
0 10890050 0.508182 0.00000 19.1650 10890048 0.00000 0.508182 19.1510
1 10890054 0.507468 0.000714004 19.2016 10890055 -0.00381431 0.511996 19.2079
2 10890049 0.507999 0.000182986 19.1855 10890052 -0.00384089 0.512023 19.1704
3 10890053 0.506762 0.00141996 19.1796 10890051 -0.00366497 0.511847 19.1602