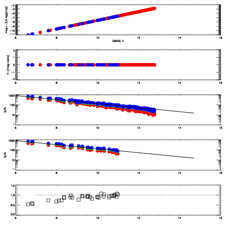
Left plots: red are targets, blue are telluric. Observed mags are calculated from median value of green chip. Zeropoint gives overall throughput: bigger number is more throughput.
First spatial plots: circles are objects, squares are tellurics, crosses are sky fibers. Colors give deviation of observed mag from expected 2MASS mag using the median zeropoint; red is brighter
Second spatial plots: circles are sky fibers. Colors give sky line brightness relative to plate median sky line brightness
FrameNreadsZeropointsMag plots Spatial mag deviation Spatial sky 16325A emission deviations (filled: sky, open: star) Spatial sky continuum emission Spatial sky telluric CO2 absorption deviations (filled: H < 10)
0 0
RedGreenBlue
z17.64
znorm Inf
sky -Inf -NaN -Inf
S/N 23.6 42.7 43.8
S/N(c) 0.0 0.0 0.0
SN(E/C) 0.90

IPAIRNAMESHIFTNEWSHIFTS/N NAMESHIFTNEWSHIFTS/N
0 10840056 0.490055 0.00000 18.7707 10840050 0.00000 0.490055 18.8410
1 10840052 0.489061 0.000993997 18.8532 10840054 -0.00163208 0.491687 18.9008
2 10840051 0.489435 0.000620008 18.7844 10840053 -0.00180729 0.491862 18.8920
3 10840055 0.489185 0.000869989 18.6878 10840057 0.000100298 0.489955 18.7422
4 10840059 0.490003 5.20051e-05 18.1760 10840058 0.000298511 0.489756 18.3769