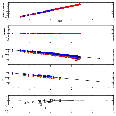
Left plots: red are targets, blue are telluric. Observed mags are calculated from median value of green chip. Zeropoint gives overall throughput: bigger number is more throughput.
First spatial plots: circles are objects, squares are tellurics, crosses are sky fibers. Colors give deviation of observed mag from expected 2MASS mag using the median zeropoint; red is brighter
Second spatial plots: circles are sky fibers. Colors give sky line brightness relative to plate median sky line brightness
FrameNreadsZeropointsMag plots Spatial mag deviation Spatial sky 16325A emission deviations (filled: sky, open: star) Spatial sky continuum emission Spatial sky telluric CO2 absorption deviations (filled: H < 10)
0 0
RedGreenBlue
z17.64
znorm Inf
sky -Inf -Inf -Inf
S/N 20.9 39.4 40.2
S/N(c) 0.0 0.0 0.0
SN(E/C) 0.89

IPAIRNAMESHIFTNEWSHIFTS/N NAMESHIFTNEWSHIFTS/N
0 11060058 0.482173 0.00000 18.8498 11060052 0.00000 0.482173 18.8005
1 11060054 0.480419 0.00175399 18.8912 11060055 -0.00113969 0.483313 18.9371
2 11060053 0.480515 0.00165799 18.8670 11060059 -0.00284968 0.485023 18.8433
3 11060057 0.481365 0.000808001 18.7501 11060056 -0.000724026 0.482897 18.7782